Open Access

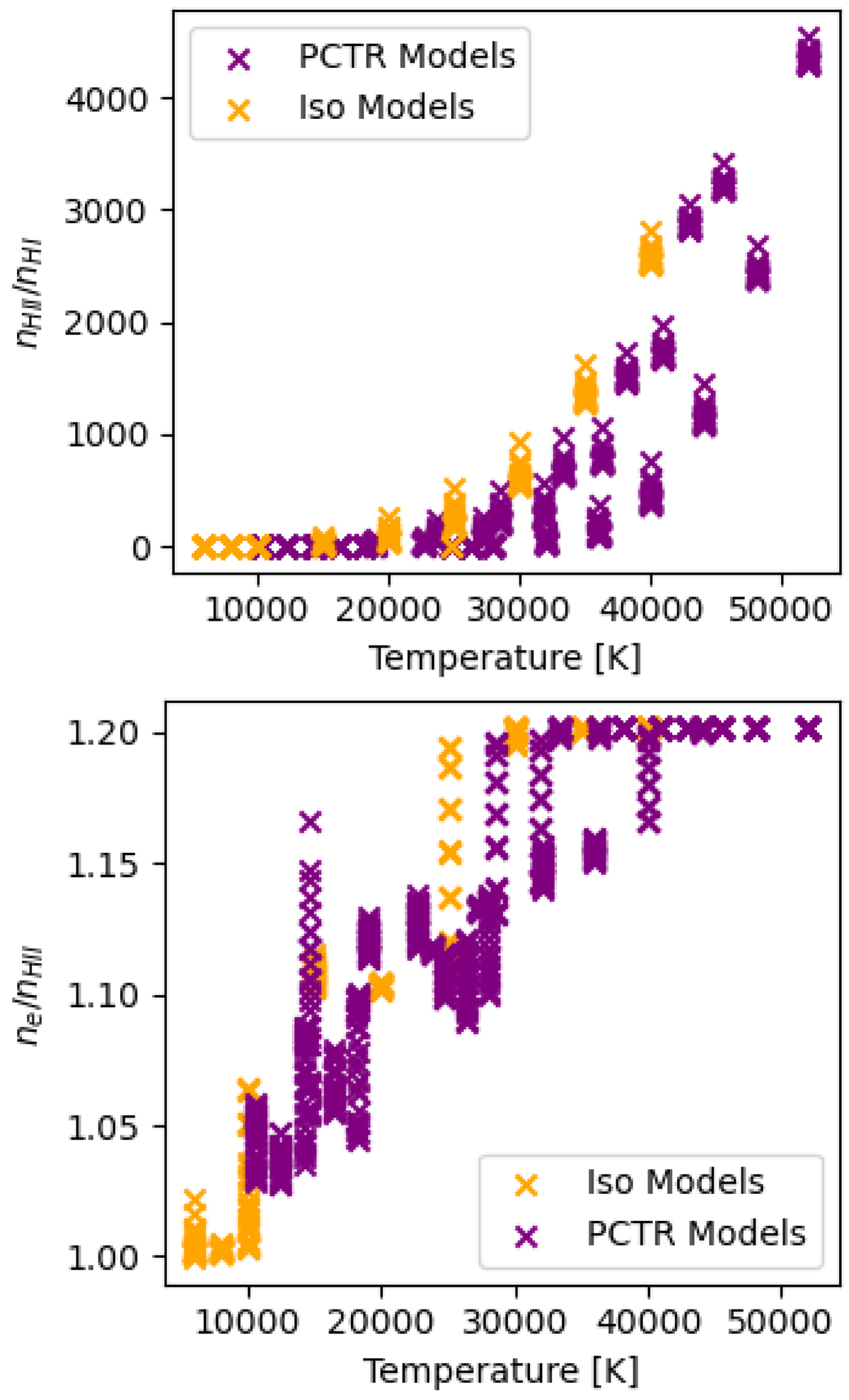
Fig. 18.

image

Download original image

Exponential increase of ionisation degree above 30 000 K and breakdown of the assumption that nHII ≈ ne at high temperatures. Top: ionisation degree defined by nHII/nHI. Bottom: excess electrons. Number of free electrons per H II. This illustrates that the commonly used approximation for ionisation degree will overestimate the value of nHII at high temperatures.

Current usage metrics show cumulative count of Article Views (full-text article views including HTML views, PDF and ePub downloads, according to the available data) and Abstracts Views on Vision4Press platform.

Data correspond to usage on the plateform after 2015. The current usage metrics is available 48-96 hours after online publication and is updated daily on week days.

Initial download of the metrics may take a while.