Open Access

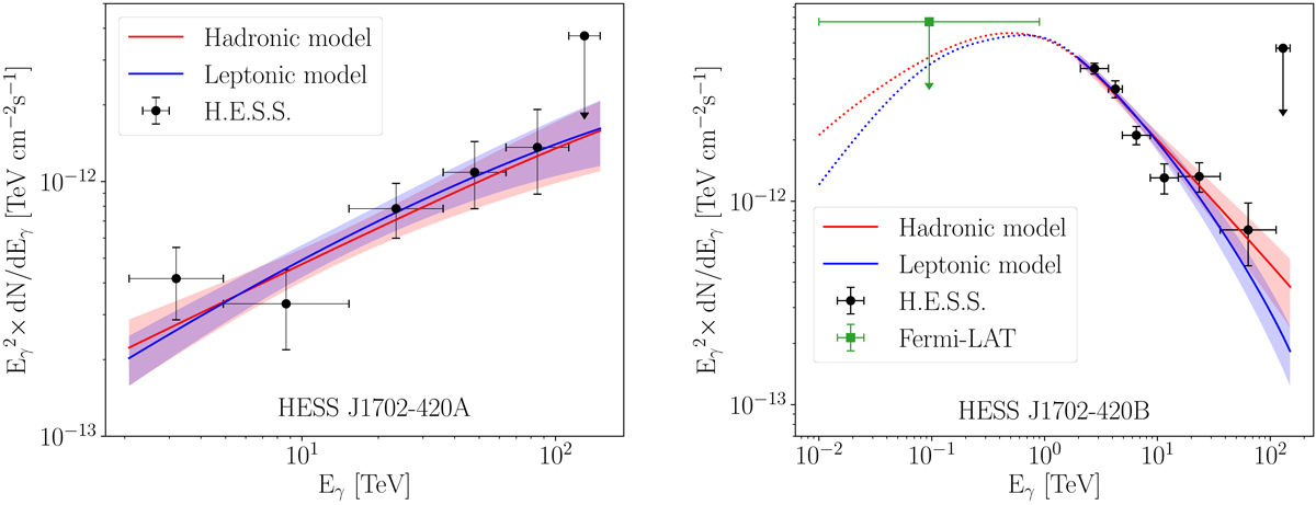
Fig. 5.

image

Download original image

Models of γ-ray emission based on hadronic (red) and leptonic (blue) one-zone scenarios, for HESS J1702-420A – left panel – and HESS J1702-420B – right panel. The best-fit spectra, under the assumption of simple power law distribution of the underlying particle populations, are shown as solid lines, while the shaded areas and dotted lines represent the 1σ statistical error envelope and extrapolations outside the fit range, respectively. The H.E.S.S. and Fermi-LAT flux points are also shown, for reference purpose. Fit results were obtained with a 3D fit of H.E.S.S. data.

Current usage metrics show cumulative count of Article Views (full-text article views including HTML views, PDF and ePub downloads, according to the available data) and Abstracts Views on Vision4Press platform.

Data correspond to usage on the plateform after 2015. The current usage metrics is available 48-96 hours after online publication and is updated daily on week days.

Initial download of the metrics may take a while.