Open Access

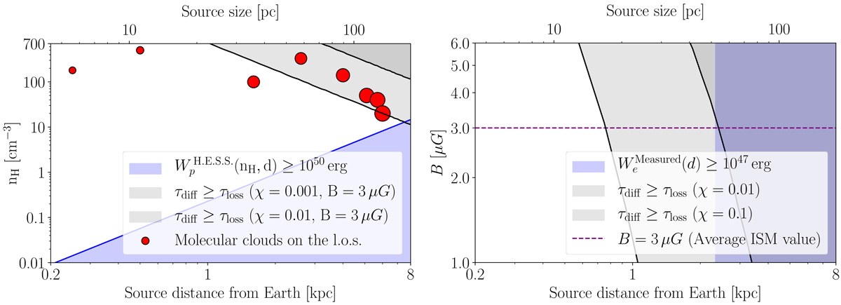
Fig. 6.

image

Download original image

Possible constraints on the gas density, magnetic field and distance of HESS J1702-420, based on multi-wavelegth observations, under the assumption of simple one-zone hadronic (left panel) or leptonic (right panel) scenarios. More details are given in the main text.

Current usage metrics show cumulative count of Article Views (full-text article views including HTML views, PDF and ePub downloads, according to the available data) and Abstracts Views on Vision4Press platform.

Data correspond to usage on the plateform after 2015. The current usage metrics is available 48-96 hours after online publication and is updated daily on week days.

Initial download of the metrics may take a while.