Free Access

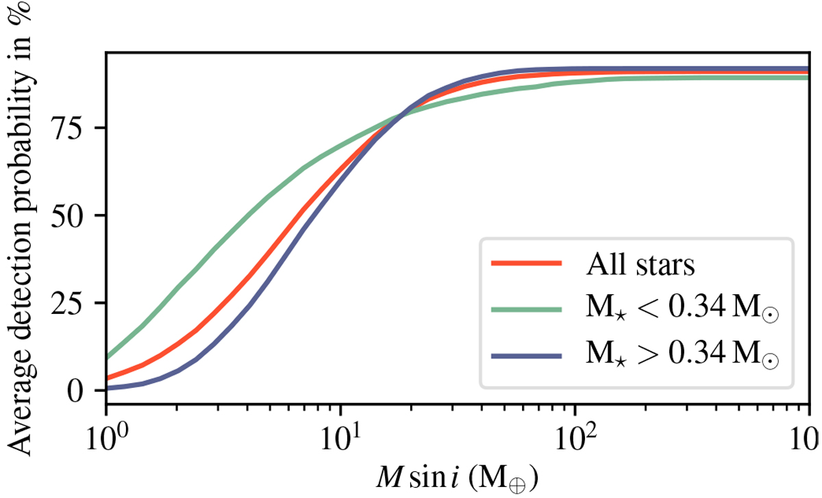
Fig. 4

image

Download original image

Average planet detection probabilities of the complete sample (subsample of 71 CARMENES GTO stars) as a function of projected planet mass averaged over the period range 1–240 d. The three curves depict the probabilities for early-M (blue), late-M (green), and all stars (red). The maximum probability is 0.91 on average.

Current usage metrics show cumulative count of Article Views (full-text article views including HTML views, PDF and ePub downloads, according to the available data) and Abstracts Views on Vision4Press platform.

Data correspond to usage on the plateform after 2015. The current usage metrics is available 48-96 hours after online publication and is updated daily on week days.

Initial download of the metrics may take a while.