Free Access

Fig. A.1

image

Download original image

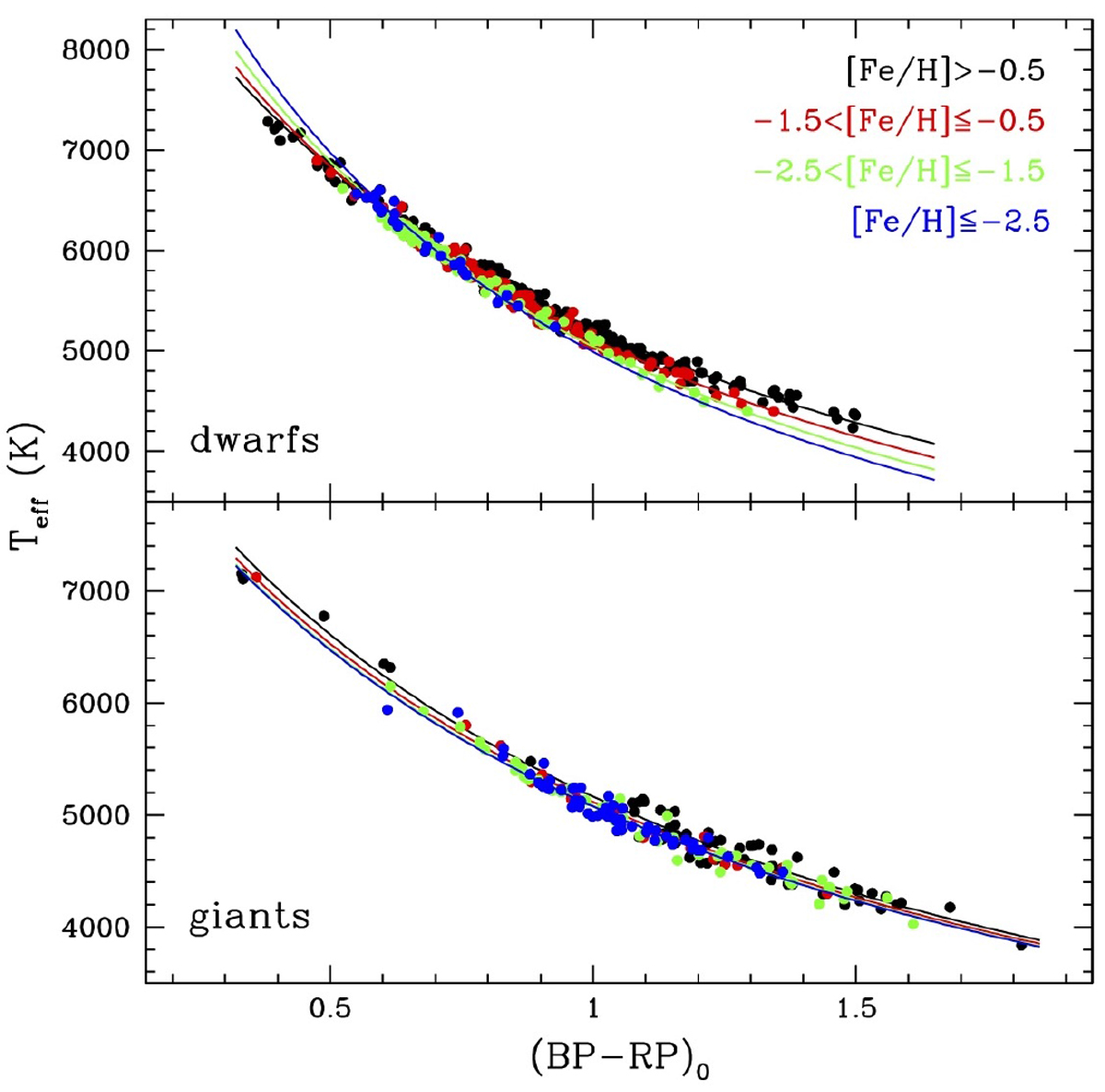
Behaviour of Teff derived from IRFM by González Hernández & Bonifacio (2009) as a function of the colour for dwarf and giant stars (upper and lower panels, respectively). The stars are grouped according to their metallicity: [Fe/H] ≤–2.5 dex (blue points),–2.5 <[Fe/H] ≤–1.5 (green points), –1.5 <[Fe/H] ≤–0.5 (red points), [Fe/H] >–0.5 dex (black points). The solid lines are the theoretical colour–Teffrelation calculated with [Fe/H]=–3.0 dex (blue line), –2.0 dex (red line), –1.0 dex (red line), +0.0 dex (black line).

Current usage metrics show cumulative count of Article Views (full-text article views including HTML views, PDF and ePub downloads, according to the available data) and Abstracts Views on Vision4Press platform.

Data correspond to usage on the plateform after 2015. The current usage metrics is available 48-96 hours after online publication and is updated daily on week days.

Initial download of the metrics may take a while.