Free Access

Fig. 10.

image

Download original image

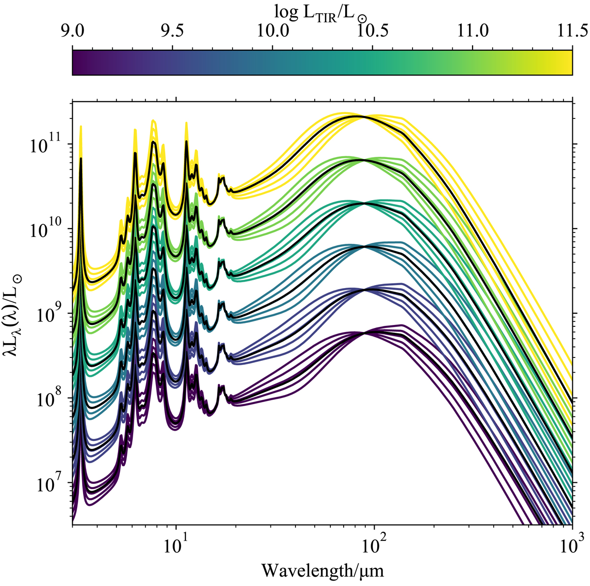
Comparison of the templates parametrized on LTIR at log LTIR/L = 9.0, 9.5, 10.0, 10.5, 11.0, and 11.5 (black lines), and the templates parametrized on both LTIR and sSFR for sSFR/yr−1 = −11, −10.5, −10, −9.5, and −9. Templates corresponding to a high sSFR have a stronger emission below 90 μm.

Current usage metrics show cumulative count of Article Views (full-text article views including HTML views, PDF and ePub downloads, according to the available data) and Abstracts Views on Vision4Press platform.

Data correspond to usage on the plateform after 2015. The current usage metrics is available 48-96 hours after online publication and is updated daily on week days.

Initial download of the metrics may take a while.