Free Access

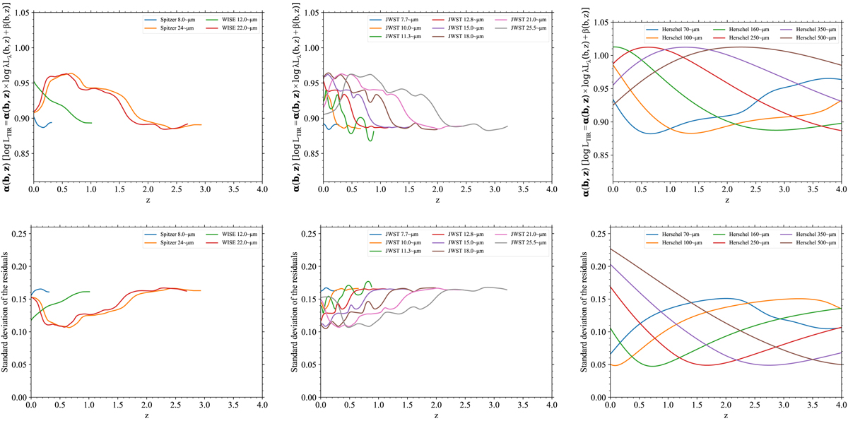
Fig. A.1.

image

Download original image

Top row. Evolution of m(b, z) from Eq. A.1 as a function of the redshift to estimate the TIR luminosity from the main WISE, Spitzer, Herschel, and JWST bands. Bottom row. Standard deviation of the residual of the TIR luminosity estimated from Eq. A.1. Fewer bands are available at higher redshifts as the computation is only carried out for λ/(1 + z) > 6 μm, with λ the pivot wavelength of the filter.

Current usage metrics show cumulative count of Article Views (full-text article views including HTML views, PDF and ePub downloads, according to the available data) and Abstracts Views on Vision4Press platform.

Data correspond to usage on the plateform after 2015. The current usage metrics is available 48-96 hours after online publication and is updated daily on week days.

Initial download of the metrics may take a while.