Free Access

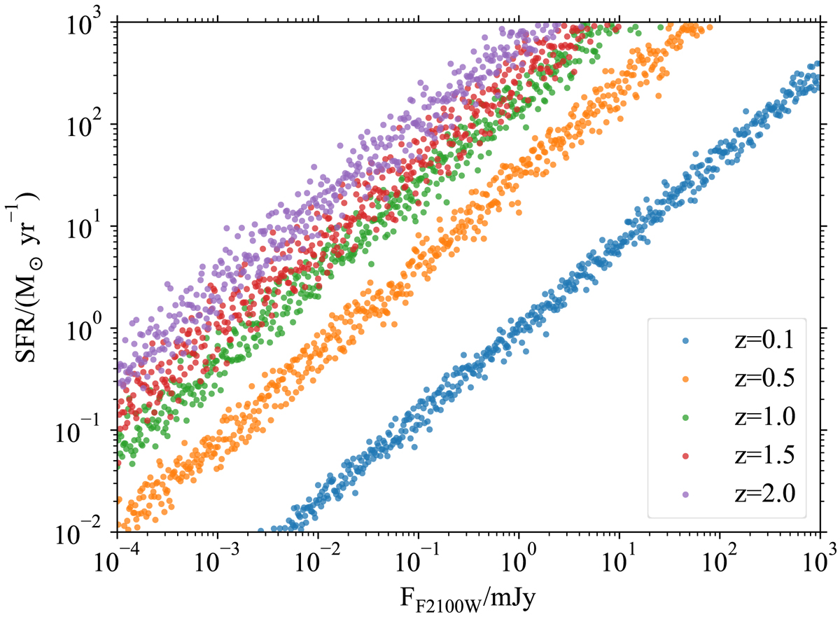
Fig. 8.

image

Download original image

Estimated total (obscured plus unobscured) SFR as a function of the flux measured in JWST MIRI 21 μm filter (F2100W) and redshift, based on the relations that take into account the evolution of sSFR. The scatter results from assuming a 1-σ scatter of 0.5 dex in sSFR of actively star-forming galaxies at each redshift.

Current usage metrics show cumulative count of Article Views (full-text article views including HTML views, PDF and ePub downloads, according to the available data) and Abstracts Views on Vision4Press platform.

Data correspond to usage on the plateform after 2015. The current usage metrics is available 48-96 hours after online publication and is updated daily on week days.

Initial download of the metrics may take a while.