Free Access

Fig. 3.

image

Download original image

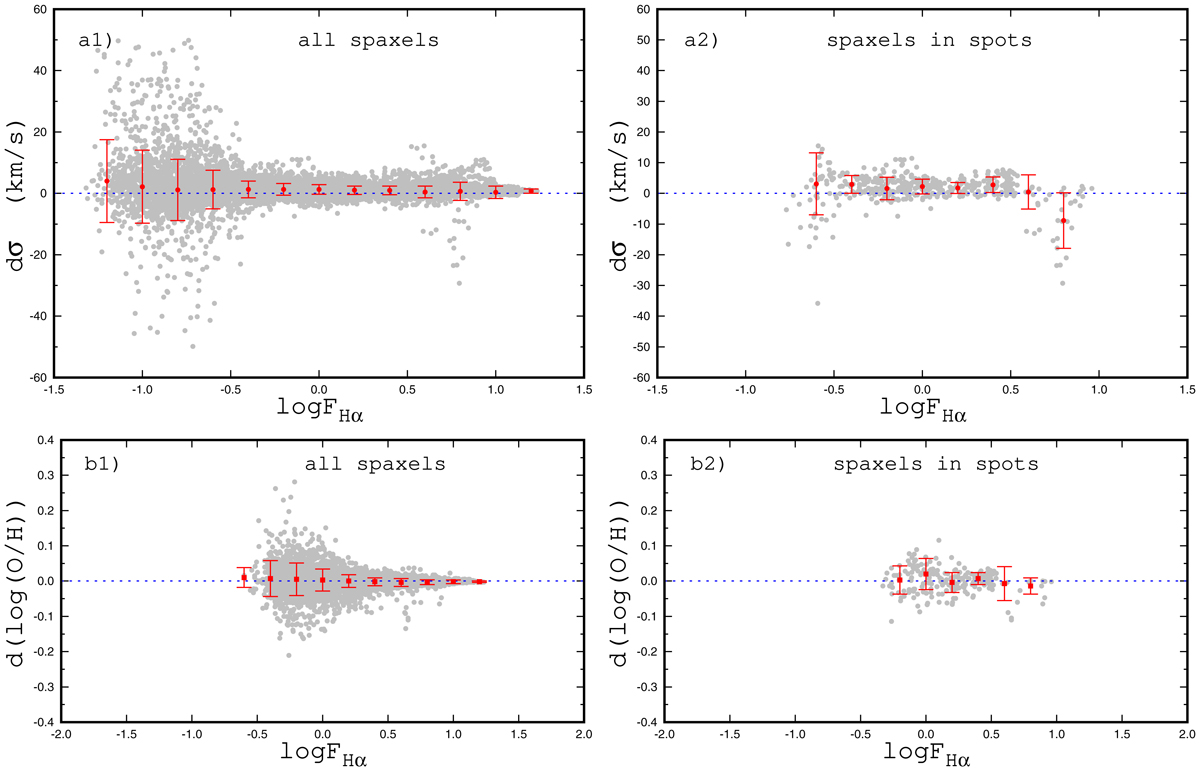
Difference between the DAP and our measurements of the gas velocity dispersion σ and the oxygen abundance O/H. Panel a1: the grey points show the difference dσ = σDAPσour as a function of Hα flux for all the individual spaxels in seven galaxies. The red points show the mean values of the difference in bins of 0.2 dex in Hα flux. Panel a2: same as panel a1 but for the spaxels in the spots. Panel b1: the grey points show the difference d(O/H) = log(O/H)DAP – log(O/H)our as a function of Hα flux for all the individual spaxels. The red points show the mean values of difference in bins of 0.2 dex in Hα flux. Panel b2: same as panel b1 but for the spaxels in the spots.

Current usage metrics show cumulative count of Article Views (full-text article views including HTML views, PDF and ePub downloads, according to the available data) and Abstracts Views on Vision4Press platform.

Data correspond to usage on the plateform after 2015. The current usage metrics is available 48-96 hours after online publication and is updated daily on week days.

Initial download of the metrics may take a while.