Free Access

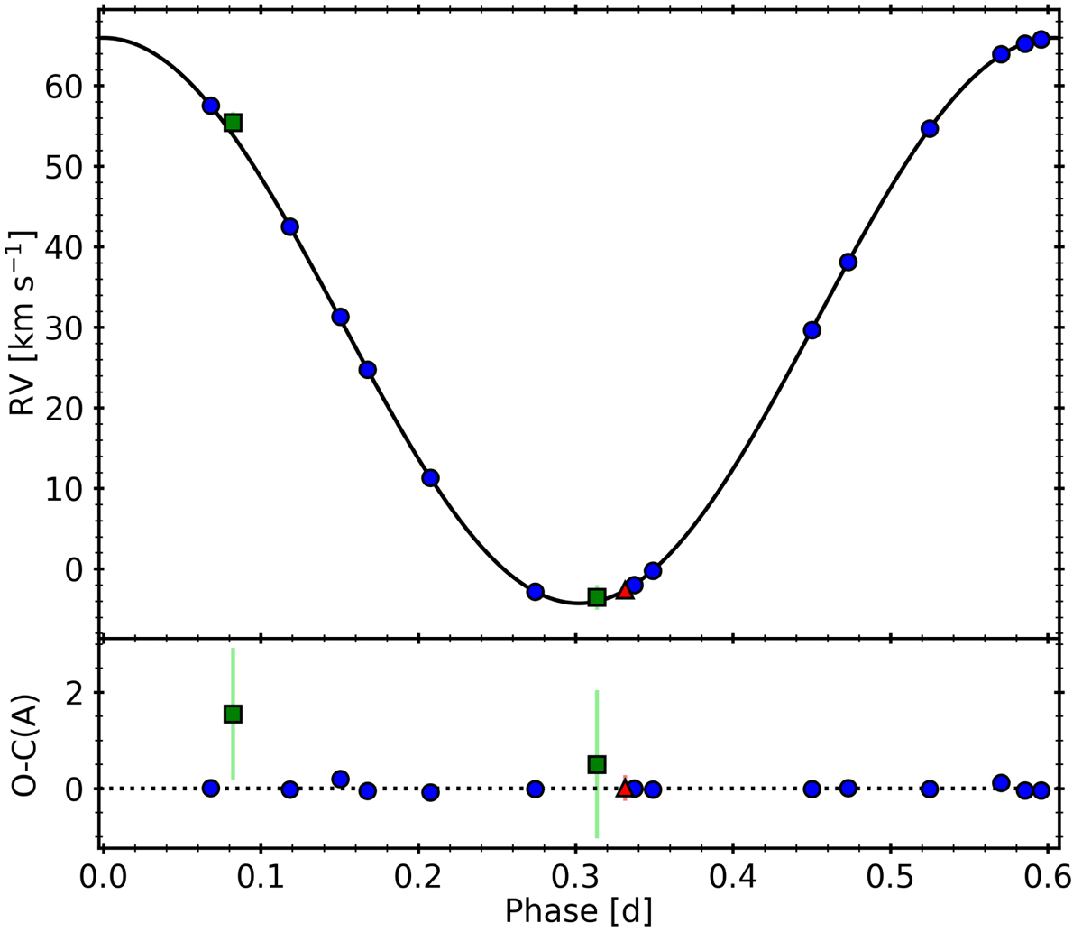
Fig. 1.

image

Download original image

Best orbital fit to the RVs of GJ 207.1 from CARMENES (blue circles), HARPS (red triangle), and FEROS (green squares), phase folded to the period of the system. Bottom panel: residuals from the fit.

Current usage metrics show cumulative count of Article Views (full-text article views including HTML views, PDF and ePub downloads, according to the available data) and Abstracts Views on Vision4Press platform.

Data correspond to usage on the plateform after 2015. The current usage metrics is available 48-96 hours after online publication and is updated daily on week days.

Initial download of the metrics may take a while.