Free Access

Fig. 19.

image

Download original image

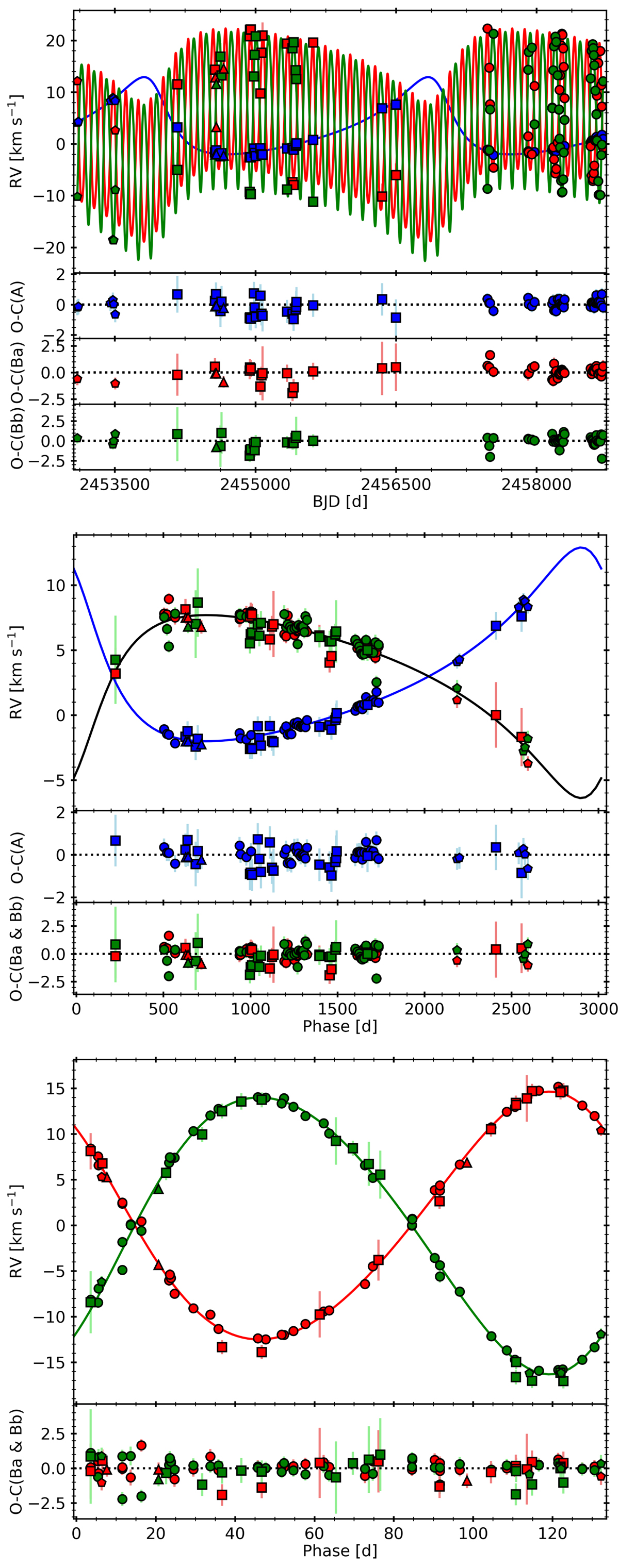
Best fit to the RVs of GJ 3916. Top panel: fit to the RVs of the three components as a function of time. Middle panel: same fit, but phase folded to the period of the outer orbit and with the inner orbit subtracted. Bottom panel: fit to the inner orbit of the components Ba and Bb with outer orbit subtracted. The blue, red, and green symbols indicate the RVs of components A, Ba, and Bb, respectively. Measurements from CARMENES, FEROS, UVES, and HARPS are plotted as circular, squared, pentagonal, and triangular symbols, respectively.

Current usage metrics show cumulative count of Article Views (full-text article views including HTML views, PDF and ePub downloads, according to the available data) and Abstracts Views on Vision4Press platform.

Data correspond to usage on the plateform after 2015. The current usage metrics is available 48-96 hours after online publication and is updated daily on week days.

Initial download of the metrics may take a while.