Free Access

Fig. C.4

image

Download original image

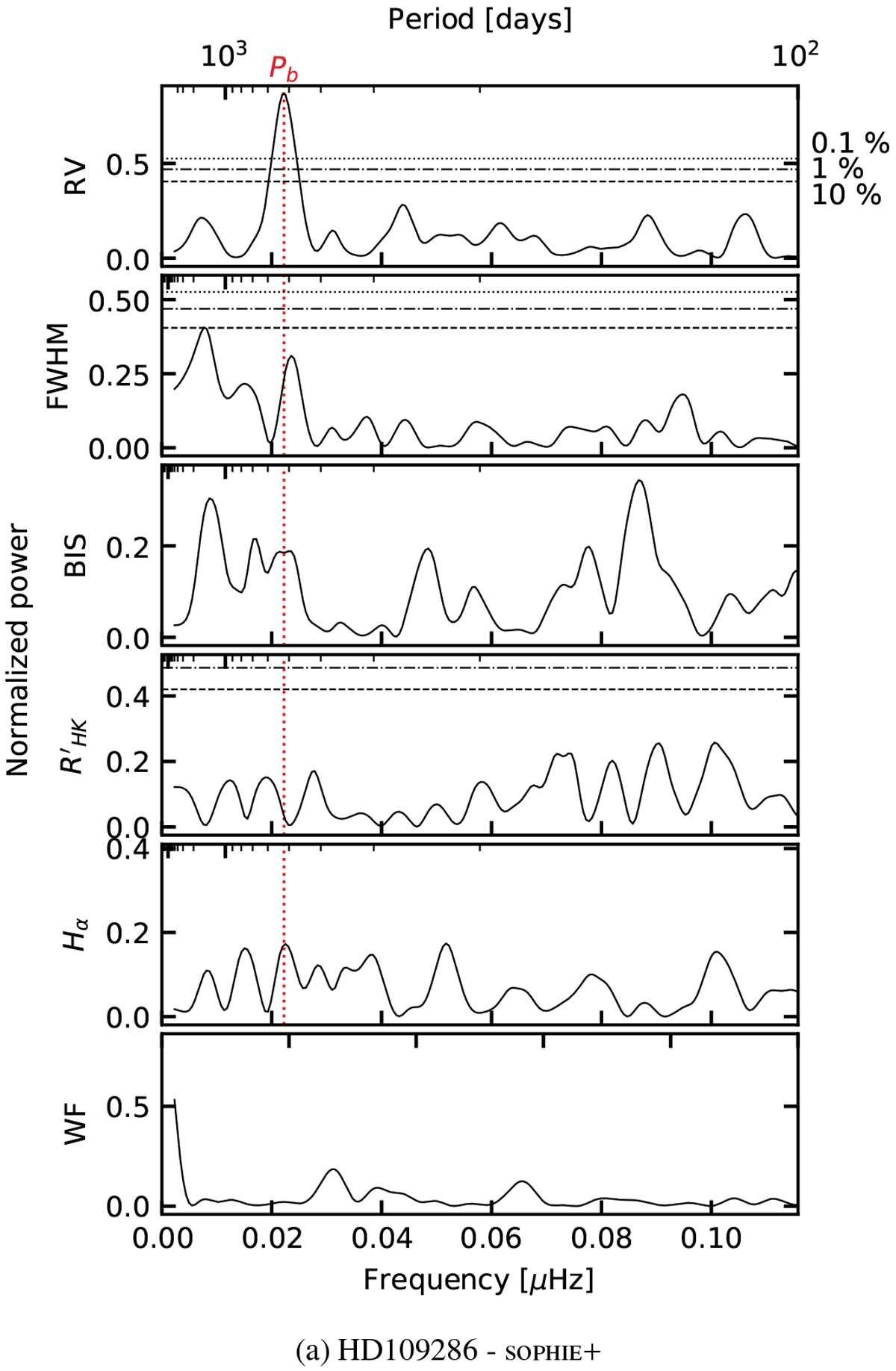
GLSP of the RV and the available activity indicators measured on HD 109286 with the SOPHIE (SOPHIE+) spectrograph. From top to bottom: GLSP of the RV, FWHM, BIS, and time series and the window function of the data. The rest of the format of this figure is the same as Fig. C.1 (see the caption of that figure for more details).

Current usage metrics show cumulative count of Article Views (full-text article views including HTML views, PDF and ePub downloads, according to the available data) and Abstracts Views on Vision4Press platform.

Data correspond to usage on the plateform after 2015. The current usage metrics is available 48-96 hours after online publication and is updated daily on week days.

Initial download of the metrics may take a while.