Free Access

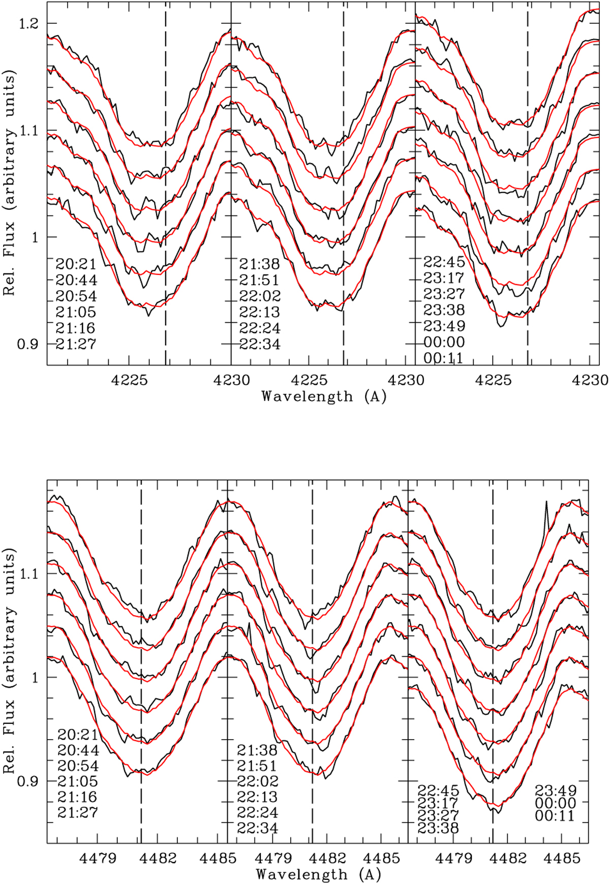
Fig. A.1

image

Download original image

Profiles of the Ca I 4226 Å (top) and Mg II 4481 Å (bottom) lines as observed with HERMES in 2016-05-11. UTs from top to bottom and from left to right are indicated in the labels. Spectra have been rebinned to 0.1406 Å/pixel. The median of all spectra superimposed on each spectrum is plotted in red.

Current usage metrics show cumulative count of Article Views (full-text article views including HTML views, PDF and ePub downloads, according to the available data) and Abstracts Views on Vision4Press platform.

Data correspond to usage on the plateform after 2015. The current usage metrics is available 48-96 hours after online publication and is updated daily on week days.

Initial download of the metrics may take a while.