Free Access

Fig. 3

image

Download original image

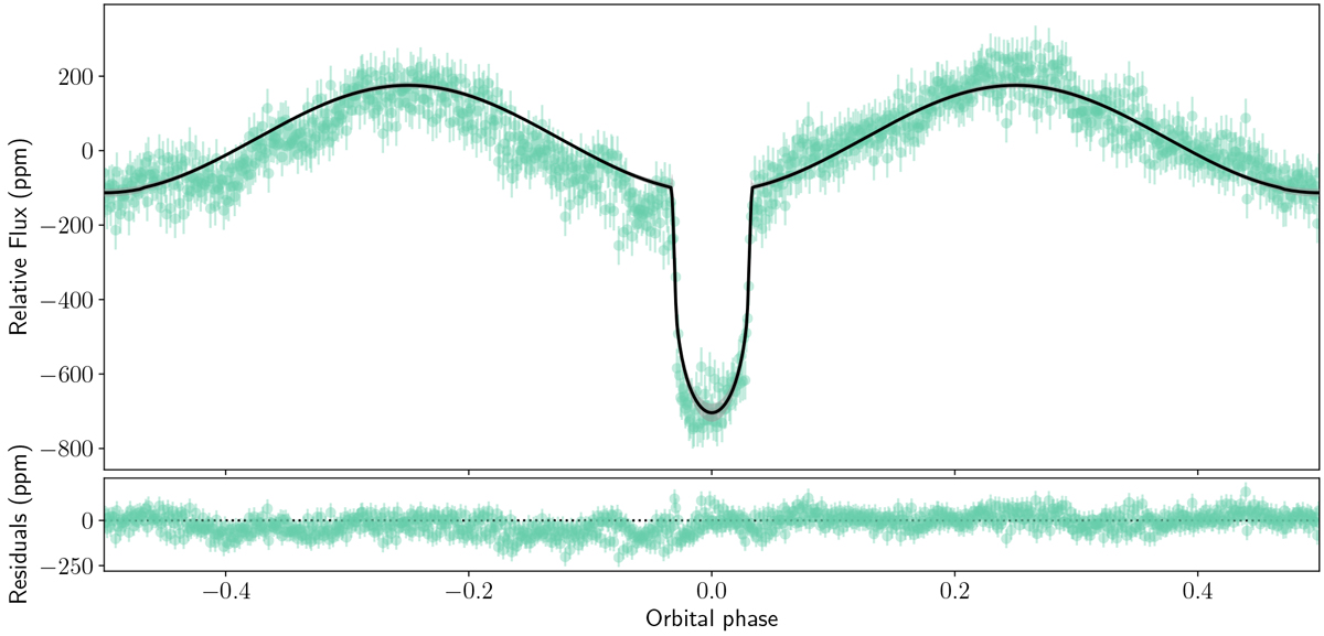
Diluted Kepler light curve phase folded with the eclipse period and the inferred median model from the joint analysis from Sect. 4.5. The corresponding 95% confidence interval is shown as a vgray shaded region. Kepler data has been binned in phase to remove the asteroseismology variation due to the contaminant bright KOI-3886 A star.

Current usage metrics show cumulative count of Article Views (full-text article views including HTML views, PDF and ePub downloads, according to the available data) and Abstracts Views on Vision4Press platform.

Data correspond to usage on the plateform after 2015. The current usage metrics is available 48-96 hours after online publication and is updated daily on week days.

Initial download of the metrics may take a while.