Open Access

Fig. 8.

image

Download original image

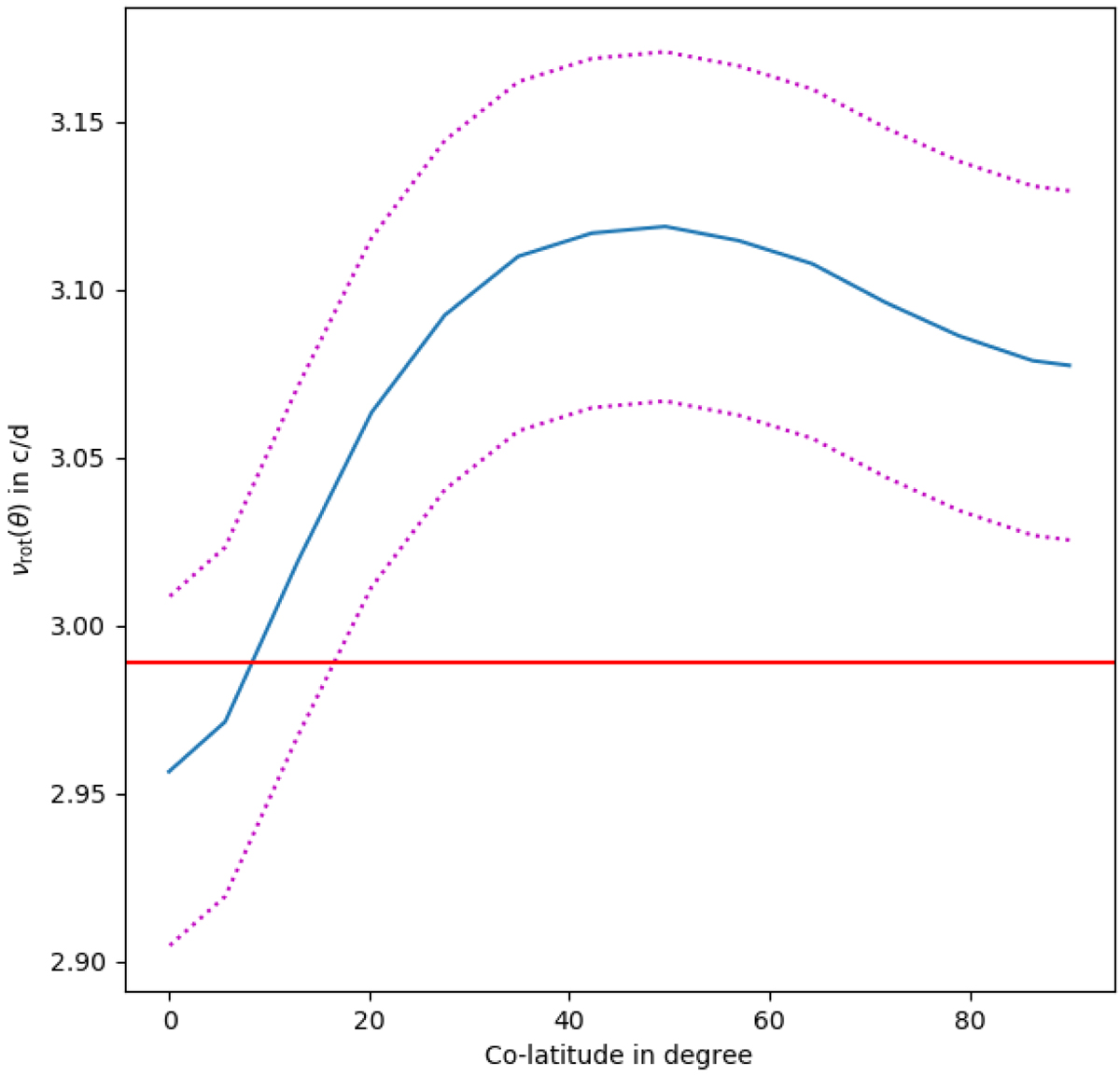
Surface differential of Altair from the 2D model of Bouchaud et al. (2020) expressed by a frequency in c/d as a function of co-latitude (solid blue line). The dotted lines show the 2-sigma uncertainty of the model parameter, while the horizontal red line shows the frequency 2.99 c/d, which shows up in the 2012 data in Fig. 9.

Current usage metrics show cumulative count of Article Views (full-text article views including HTML views, PDF and ePub downloads, according to the available data) and Abstracts Views on Vision4Press platform.

Data correspond to usage on the plateform after 2015. The current usage metrics is available 48-96 hours after online publication and is updated daily on week days.

Initial download of the metrics may take a while.