Open Access

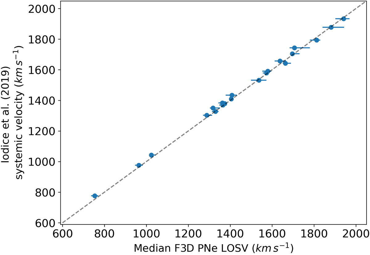
Fig. 4.

image

Download original image

Comparison between the systemic velocities of our sample galaxies as measured by Iodice et al. (2019b) from the stellar kinematic maps and as derived from the median PNe LOSV observed in the MUSE central pointing. The diagonal blue line indicates the one to one relation. Small residual offset may reflect an asymmetric sampling of the PNe around the centre of the galaxies.

Current usage metrics show cumulative count of Article Views (full-text article views including HTML views, PDF and ePub downloads, according to the available data) and Abstracts Views on Vision4Press platform.

Data correspond to usage on the plateform after 2015. The current usage metrics is available 48-96 hours after online publication and is updated daily on week days.

Initial download of the metrics may take a while.