Free Access

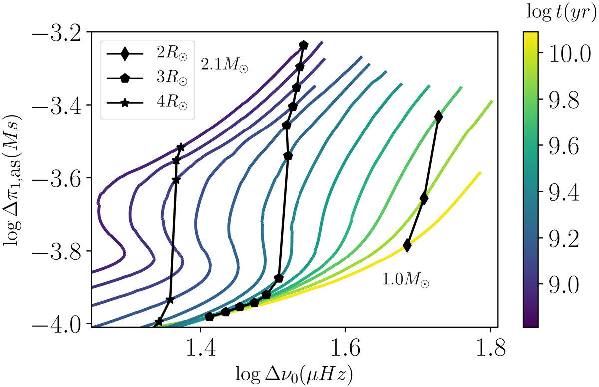
Fig. 11.

image

Download original image

Variation of Δπ1, as with Δν0 on the subgiant phase for different masses. The colour gradient represents the age. The black symbols correspond the models at fixed radius. The diamonds correspond to models of 2R, pentagons to 3R, and stars to 4R.

Current usage metrics show cumulative count of Article Views (full-text article views including HTML views, PDF and ePub downloads, according to the available data) and Abstracts Views on Vision4Press platform.

Data correspond to usage on the plateform after 2015. The current usage metrics is available 48-96 hours after online publication and is updated daily on week days.

Initial download of the metrics may take a while.