Free Access

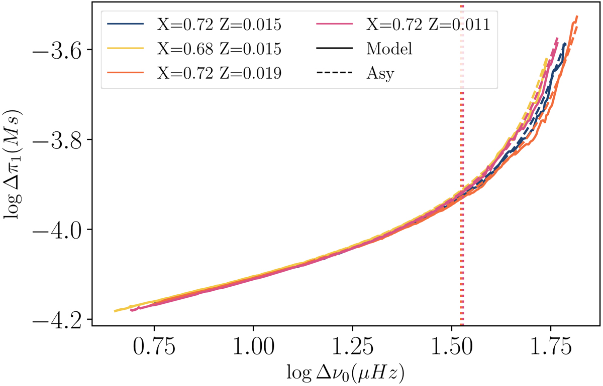
Fig. 18.

image

Download original image

Variation of Δπ1 as a function of Δν0 for 1 M models with several compositions, represented by the colours. The dashed lines correspond to the asymptotic values and the vertical dotted lines to the transition at 𝒩 = 1.

Current usage metrics show cumulative count of Article Views (full-text article views including HTML views, PDF and ePub downloads, according to the available data) and Abstracts Views on Vision4Press platform.

Data correspond to usage on the plateform after 2015. The current usage metrics is available 48-96 hours after online publication and is updated daily on week days.

Initial download of the metrics may take a while.