Free Access

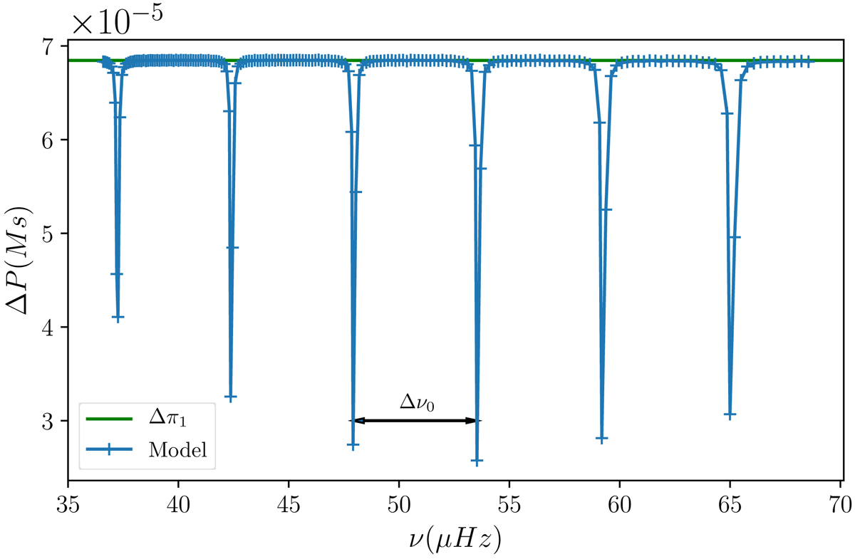
Fig. 2.

image

Download original image

Oscillation period differences between consecutive modes as a function of the frequency in the 1 M red giant model presented in Table 1. The green horizontal line represents the asymptotic period spacing. The double-sided arrow shows the large separation value calculated for radial modes.

Current usage metrics show cumulative count of Article Views (full-text article views including HTML views, PDF and ePub downloads, according to the available data) and Abstracts Views on Vision4Press platform.

Data correspond to usage on the plateform after 2015. The current usage metrics is available 48-96 hours after online publication and is updated daily on week days.

Initial download of the metrics may take a while.