Free Access

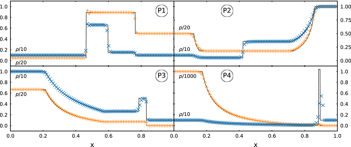
Fig. 1.

image

Download original image

Numerical results for one-dimensional Riemann problems at time t = 0.4. The density (blue crosses) and pressure (orange plus signs) are shown. The underlying solid black line corresponds to the exact solution. The numerical solutions have been obtained using 400 gridpoints, the minmod slope limiter, the HLLC solver, and CFL = 0.4. To improve visibility, we show only every fourth point of the numerical results and scaled the different quantities as annotated. The parametrisations of the Riemann problems for the numerical test can be found in Table 2.

Current usage metrics show cumulative count of Article Views (full-text article views including HTML views, PDF and ePub downloads, according to the available data) and Abstracts Views on Vision4Press platform.

Data correspond to usage on the plateform after 2015. The current usage metrics is available 48-96 hours after online publication and is updated daily on week days.

Initial download of the metrics may take a while.