Free Access

Fig. 6.

image

Download original image

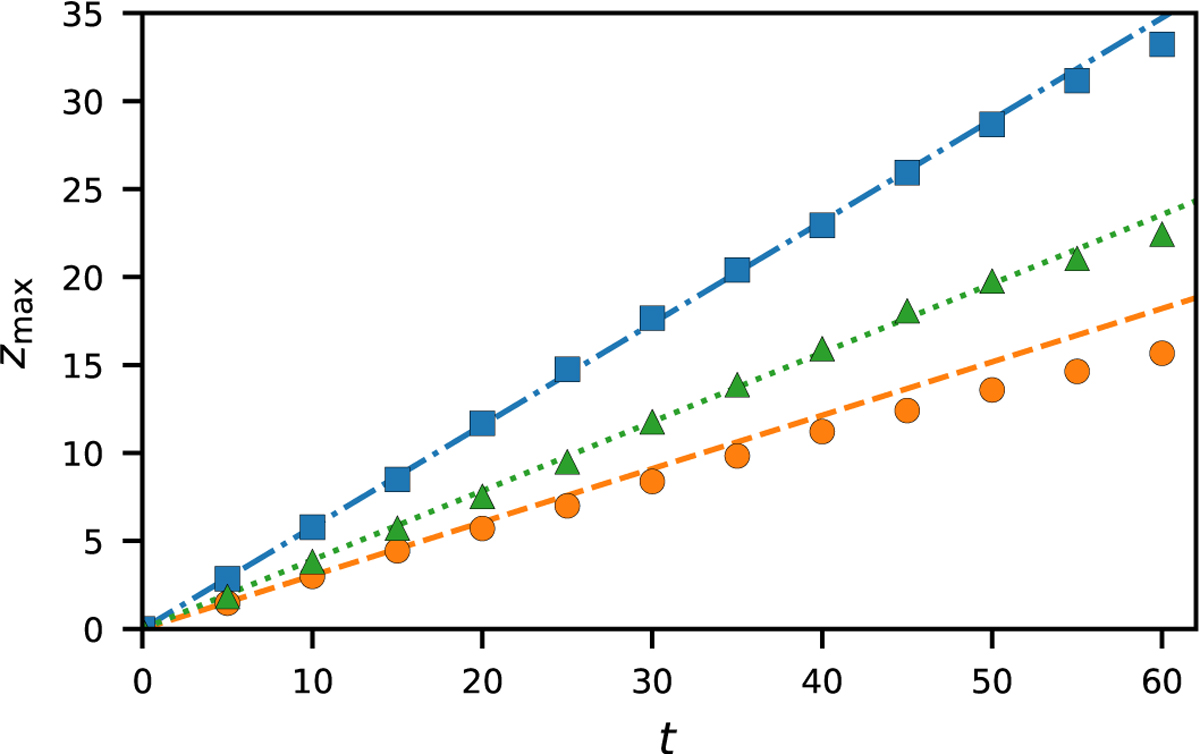
Position of the head of the jet over time for different equations of state: (orange, circles, dashed), (blue, squares, dash-dotted), TM-EoS (green, triangles, dotted). Markers correspond to numerical results and lines to one-dimensional estimates given by Eq. (53). The simulated jets correspond to the ones depicted in Fig. 5.

Current usage metrics show cumulative count of Article Views (full-text article views including HTML views, PDF and ePub downloads, according to the available data) and Abstracts Views on Vision4Press platform.

Data correspond to usage on the plateform after 2015. The current usage metrics is available 48-96 hours after online publication and is updated daily on week days.

Initial download of the metrics may take a while.