Free Access

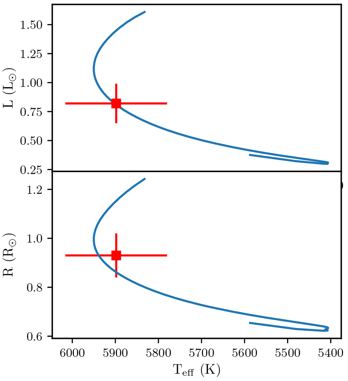
Fig. 4

image

Download original image

Radius, luminosity, and effective temperature of the cool companion in SB 744 plotted in red, with the best-fitting MIST stellar track in blue. Only the main sequence part of the track is shown. This track fits the observed metallicity of the cool companion and has a mass of 0.72 M.

Current usage metrics show cumulative count of Article Views (full-text article views including HTML views, PDF and ePub downloads, according to the available data) and Abstracts Views on Vision4Press platform.

Data correspond to usage on the plateform after 2015. The current usage metrics is available 48-96 hours after online publication and is updated daily on week days.

Initial download of the metrics may take a while.