Free Access

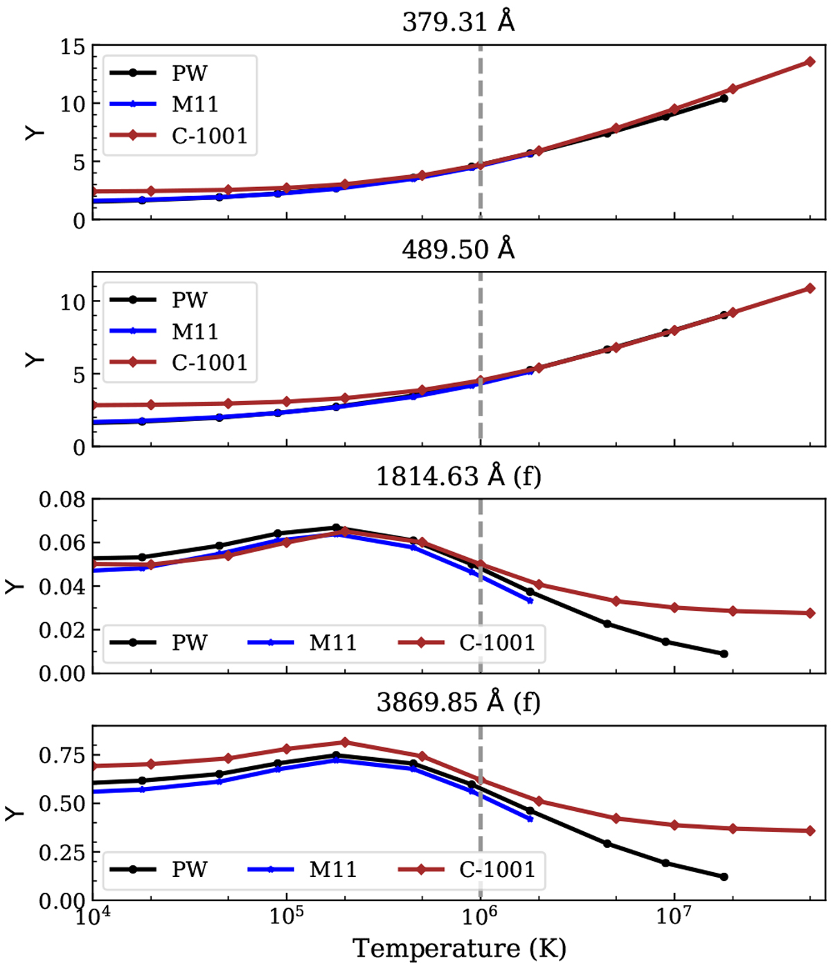
Fig. 12

image

Download original image

Comparison of Ne III (or Ne2+) effective collision strengths between our work (PW), McLaughlin et al. (2011, M11), and composite data as incorporated in the CHIANTI atomic database v10.0.1 (C-1001) for the selected transitions listed inTable 3. The vertical dashed lines indicate the temperature threshold (T ~ 106 K) below which R-matrix data from McLaughlin & Bell (2000) were used in CHIANTI for transitions within the ground configuration. For other transitions, the DW data from Landi & Bhatia (2005) were used by CHIANTI.

Current usage metrics show cumulative count of Article Views (full-text article views including HTML views, PDF and ePub downloads, according to the available data) and Abstracts Views on Vision4Press platform.

Data correspond to usage on the plateform after 2015. The current usage metrics is available 48-96 hours after online publication and is updated daily on week days.

Initial download of the metrics may take a while.