Free Access

Fig. 5

image

Download original image

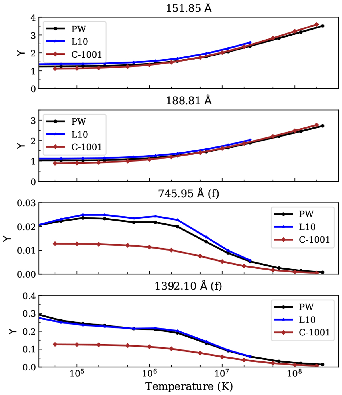
Comparison of Ar XI (or Ar10+) effective collision strengths between our work (M20), Ludlow et al. (2010, L10) and Landi & Bhatia (2006, DW) as incorporated in the CHIANTI atomic database v10.0.1 (C-1001). The top two panels are allowed transitions from the ground (188.81 Å) and metastable (151.85 Å) levels. The bottom two panels are forbidden transitions (745.95 Å and 1392.10 Å).

Current usage metrics show cumulative count of Article Views (full-text article views including HTML views, PDF and ePub downloads, according to the available data) and Abstracts Views on Vision4Press platform.

Data correspond to usage on the plateform after 2015. The current usage metrics is available 48-96 hours after online publication and is updated daily on week days.

Initial download of the metrics may take a while.