Open Access

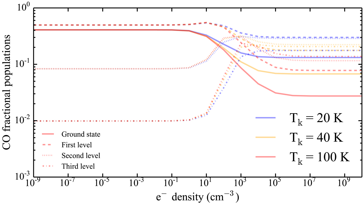
Fig. J.1.

image

Download original image

Population rotational J levels of CO for a range of temperatures and electron densities. The left side shows the radiation-dominated regime, which is the most likely regime for the KB, and the right side has enough colliders to reach LTE.

Current usage metrics show cumulative count of Article Views (full-text article views including HTML views, PDF and ePub downloads, according to the available data) and Abstracts Views on Vision4Press platform.

Data correspond to usage on the plateform after 2015. The current usage metrics is available 48-96 hours after online publication and is updated daily on week days.

Initial download of the metrics may take a while.