Free Access
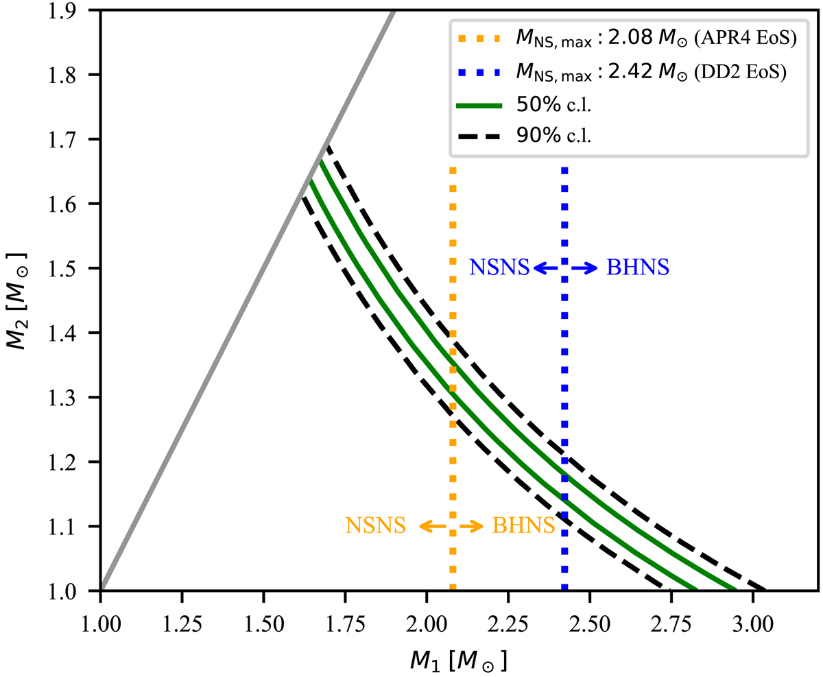
Fig. 1.

Download original image
M1 − M2 configurations compatible with the inferred value of the chirp mass for GW190425, Mc = 1.44 ± 0.02 M⊙. We show the 50% and 90% confidence regions in green and dashed black, respectively. Orange and blue vertical dotted lines indicate the NS maximum mass for the EoSs APR4 and DD2, respectively.
Current usage metrics show cumulative count of Article Views (full-text article views including HTML views, PDF and ePub downloads, according to the available data) and Abstracts Views on Vision4Press platform.
Data correspond to usage on the plateform after 2015. The current usage metrics is available 48-96 hours after online publication and is updated daily on week days.
Initial download of the metrics may take a while.