Free Access

Fig. 2.

image

Download original image

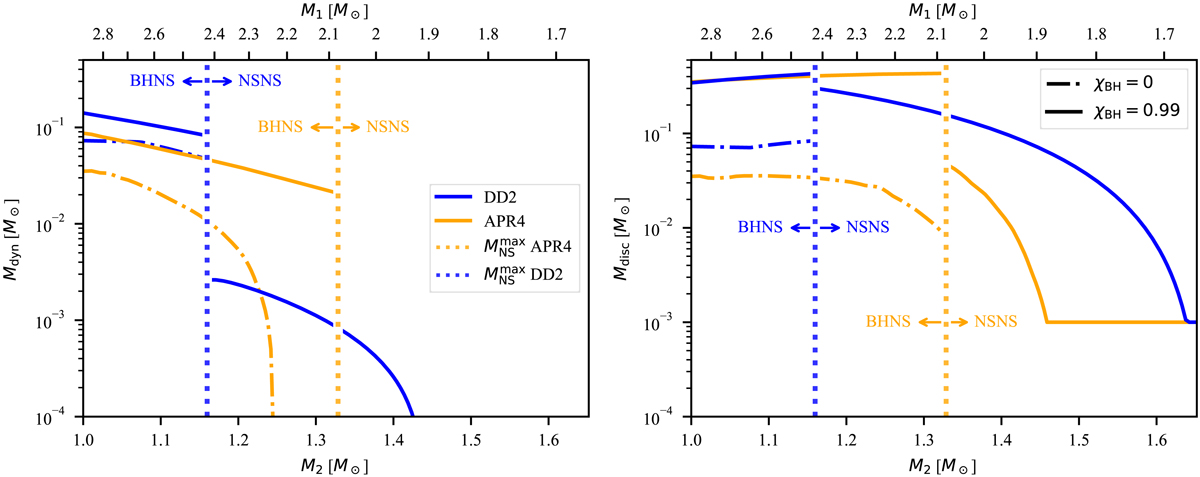
Dynamical ejecta (left) and accretion disc (right) mass from binary configurations consistent with the chirp mass of GW190425. Orange and blue lines refer to the EoSs APR4 and DD2, respectively. The solid and dot-dashed lines refer to a BH spin of 0.99 and 0, respectively. Dotted vertical lines indicate the maximum NS mass for the two EoSs.

Current usage metrics show cumulative count of Article Views (full-text article views including HTML views, PDF and ePub downloads, according to the available data) and Abstracts Views on Vision4Press platform.

Data correspond to usage on the plateform after 2015. The current usage metrics is available 48-96 hours after online publication and is updated daily on week days.

Initial download of the metrics may take a while.