Fig. 6.

Download original image
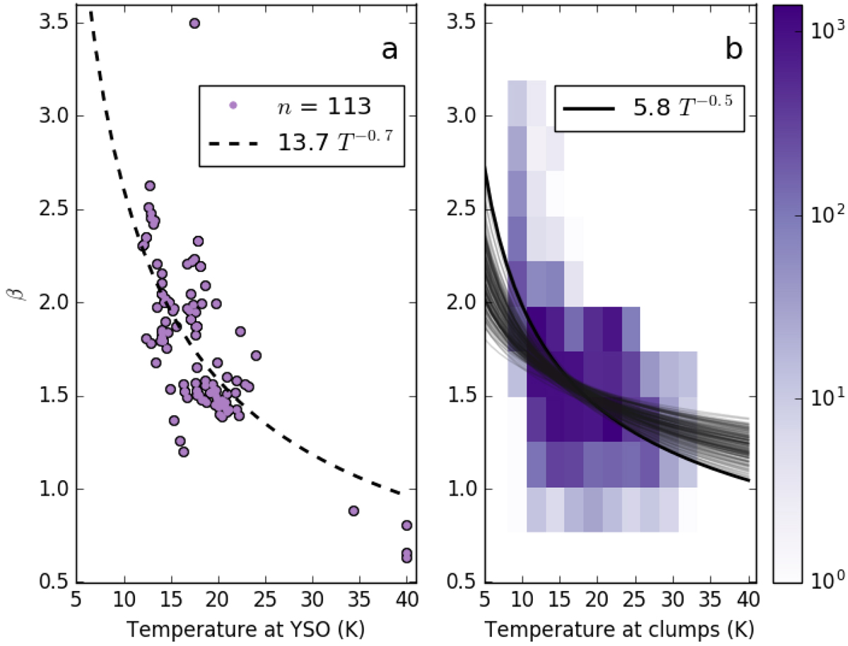
Temperature-β relation, taking into consideration only those pixels where (a) a YSO is located (n = 113 pixels) and (b) at the location of clumps (n = 15 920 pixels). The color bar corresponds to the number of pixels in the case of b. We plot the calculated relations for 113 random points from the clumps sample in gray in frame b.
Current usage metrics show cumulative count of Article Views (full-text article views including HTML views, PDF and ePub downloads, according to the available data) and Abstracts Views on Vision4Press platform.
Data correspond to usage on the plateform after 2015. The current usage metrics is available 48-96 hours after online publication and is updated daily on week days.
Initial download of the metrics may take a while.