Fig. 2

Download original image
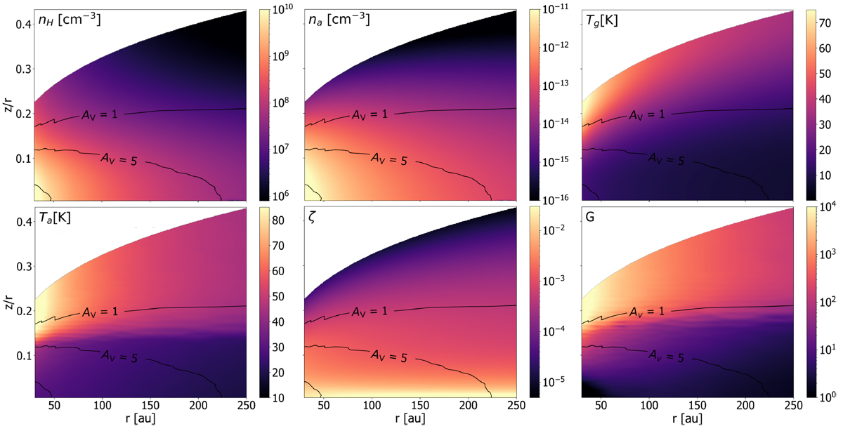
Physical structure of the multi-grain models incorporating a full dust distribution. The quantity Tg is the gas temperature, nH is the gas number density, G is the local stellar and interstellar field in the case of the HUV models (see Appendix A), ζis the dust togas mass ratio, Ta (Eq. (1)) is the area-weighted dust temperature, and na is the area-weighted grain number density. The quantity AV is the visualextinction counted from disk surface toward the disk midplane.
Current usage metrics show cumulative count of Article Views (full-text article views including HTML views, PDF and ePub downloads, according to the available data) and Abstracts Views on Vision4Press platform.
Data correspond to usage on the plateform after 2015. The current usage metrics is available 48-96 hours after online publication and is updated daily on week days.
Initial download of the metrics may take a while.