Fig. 7

Download original image
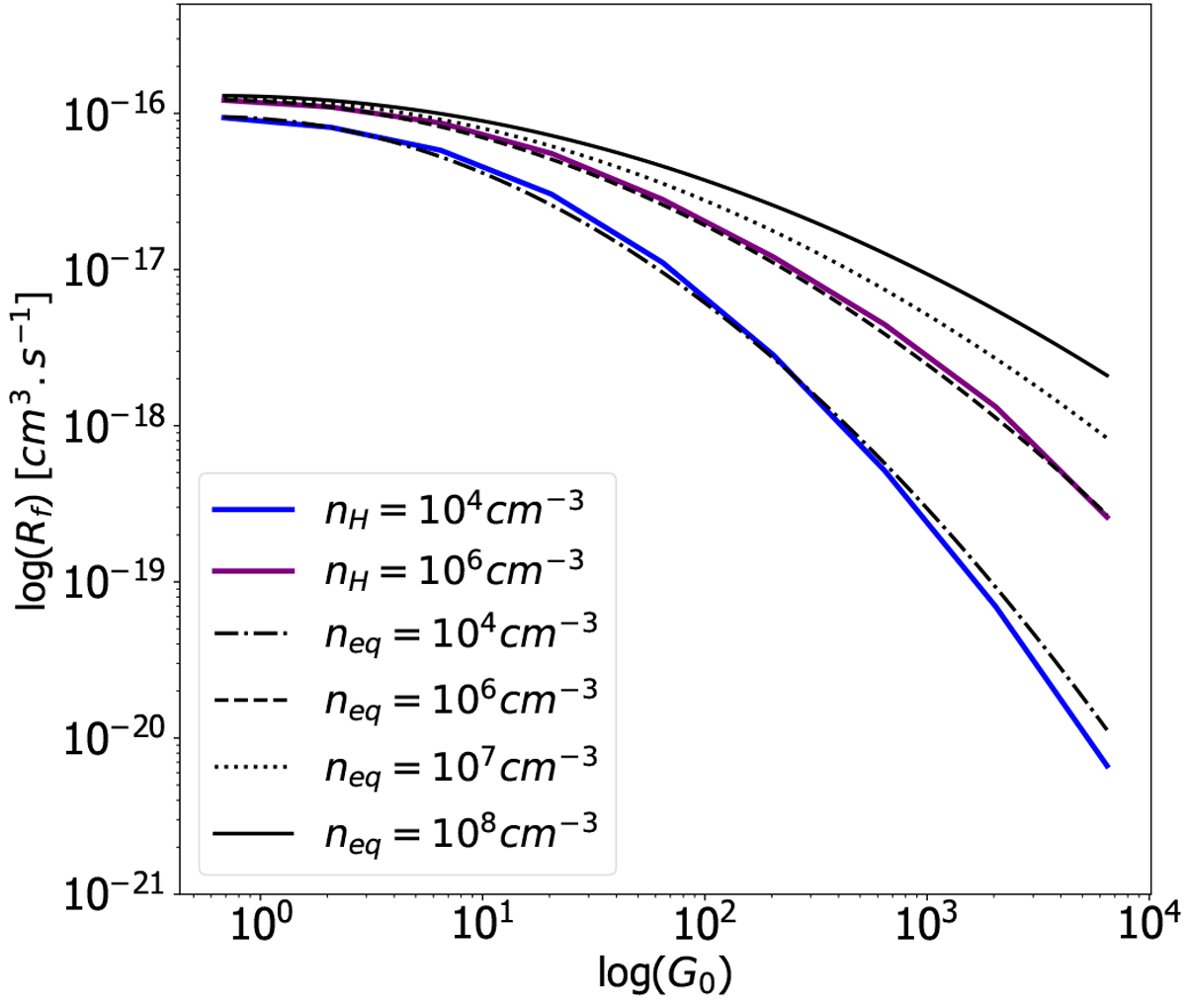
H2 formation rate as a function of the uv field intensity (in units of the Habing interstellar field) for various proton number density. Data adapted from Fig. 6 of Bron et al. (2014) are shown as the blue (104 cm−3) and purple (106 cm−3) solid lines, while black lines correspond to our analytic fit for four different number densities (104, 106, 107, 108 cm−3).
Current usage metrics show cumulative count of Article Views (full-text article views including HTML views, PDF and ePub downloads, according to the available data) and Abstracts Views on Vision4Press platform.
Data correspond to usage on the plateform after 2015. The current usage metrics is available 48-96 hours after online publication and is updated daily on week days.
Initial download of the metrics may take a while.