Free Access
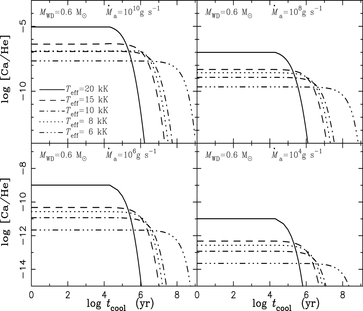
Fig. 9.

Download original image
Similar to Fig. 8, but for the evolution of [Ca/He] on the surface of 0.6 M⊙ DB WD which just experiences lasting 106 yr accretion at different Teff. The mass-accretion rates are shown in the top middle region of every panel.
Current usage metrics show cumulative count of Article Views (full-text article views including HTML views, PDF and ePub downloads, according to the available data) and Abstracts Views on Vision4Press platform.
Data correspond to usage on the plateform after 2015. The current usage metrics is available 48-96 hours after online publication and is updated daily on week days.
Initial download of the metrics may take a while.