Fig. A.2

Download original image
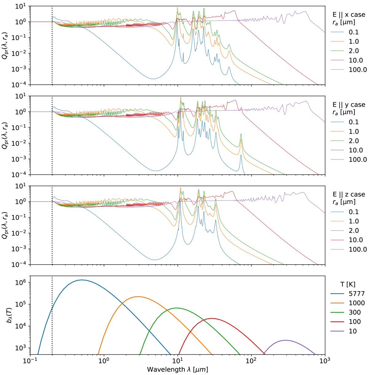
Radiation pressure coefficient, Qpr(λ, ra) of olivine (first three rows) and the function bλ(λ, T) (bottom; Eq. 9) for selected temperatures as in Fig. A.1. The three different Qpr values are derived from three different optical indices depending on the polarization of the incident light with respectto the crystalline structure (see text).
Current usage metrics show cumulative count of Article Views (full-text article views including HTML views, PDF and ePub downloads, according to the available data) and Abstracts Views on Vision4Press platform.
Data correspond to usage on the plateform after 2015. The current usage metrics is available 48-96 hours after online publication and is updated daily on week days.
Initial download of the metrics may take a while.