Fig. 6

Download original image
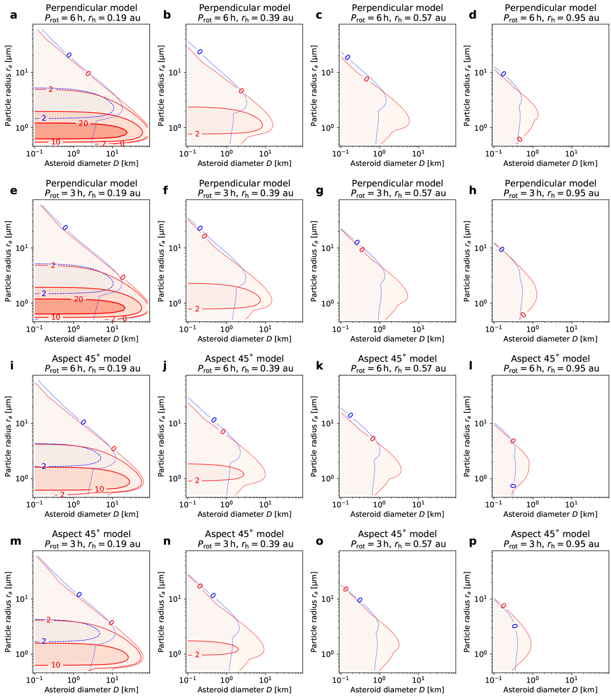
Maximum total radial acceleration, [mm s-2] of particleson the equator of the fictitious model asteroids. Each row corresponds to a different asteroid model a) to d) perpendicular model with Prot = 6 h, e) to h) perpendicular model with Prot = 3 h, i) to l) aspect 45° model with Prot = 6 h, and m) to p) aspect 45° model with Prot = 3 h). Each column corresponds to different heliocentric distances. The maximum acceleration is calculated by finding the maximum value along the longitude on the equator for the given asteroid diameter D and particle radius ra. The blue dashed lines and red solid lines indicate olivine and magnetite, respectively. The thickness of the contour increases as the acceleration value increases for fixed contour levels
. Negative (inward) accelerations are not drawn.
Current usage metrics show cumulative count of Article Views (full-text article views including HTML views, PDF and ePub downloads, according to the available data) and Abstracts Views on Vision4Press platform.
Data correspond to usage on the plateform after 2015. The current usage metrics is available 48-96 hours after online publication and is updated daily on week days.
Initial download of the metrics may take a while.