Open Access

Fig. 1.

image

Download original image

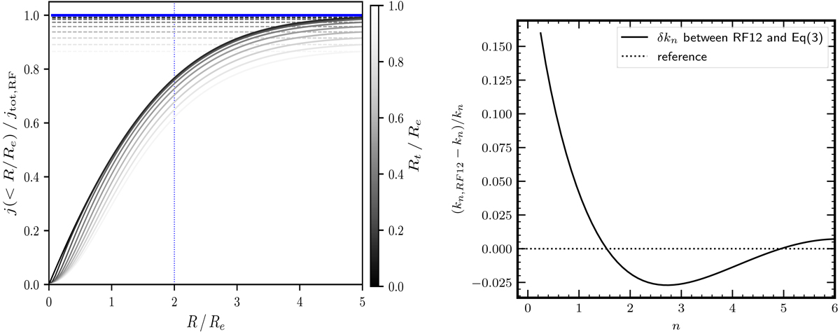
Systematics at play in measuring j(< r). Left: sAM profile j(< r) normalized by the RF12 approximation (Eq. (3)) as a function of radius for disks with Sérsic n = 1 and a tanh rotation curve. The solid blue horizontal line represents the Eq. (3) approximation. The solid curves represent the sAM for various rotation curves with various turn-over radii Rt where the opacity of the line is inversely proportional to Rt/Re. The vertical dotted line represents 2Re. For galaxies with slowly rising rotation curves, with larger Rt, the RF12 approximation leads to a large overestimation of the total angular momentum (represented by the horizontal dashed lines), by 10–20%. Right: relative difference for the kn coefficient between the kn formula from RF12 and Eq. (4) as a function of Sérsic index n. One sees that Eq. (3) under- or over-estimate kn by up to ∼10% for 0.5 < n < 4.

Current usage metrics show cumulative count of Article Views (full-text article views including HTML views, PDF and ePub downloads, according to the available data) and Abstracts Views on Vision4Press platform.

Data correspond to usage on the plateform after 2015. The current usage metrics is available 48-96 hours after online publication and is updated daily on week days.

Initial download of the metrics may take a while.