Open Access

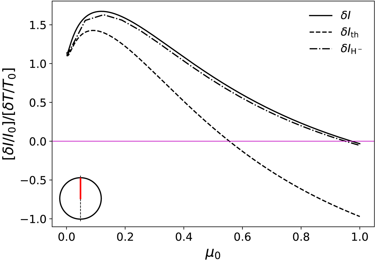
Fig. 5.

image

Download original image

Normalised emergent intensity perturbation caused by the radial mode (l = 0, m = 0, n = 20). The normalisation factor δT/T0 is taken at τ0 = 1. The intensity perturbations are computed at the same points on the solar disk as in Fig. 4, i.e., i = 90°, ϕ = 0 and 0 ≤ θ < 90° (see observer view in the lower left corner).

Current usage metrics show cumulative count of Article Views (full-text article views including HTML views, PDF and ePub downloads, according to the available data) and Abstracts Views on Vision4Press platform.

Data correspond to usage on the plateform after 2015. The current usage metrics is available 48-96 hours after online publication and is updated daily on week days.

Initial download of the metrics may take a while.