Fig. 20

Download original image
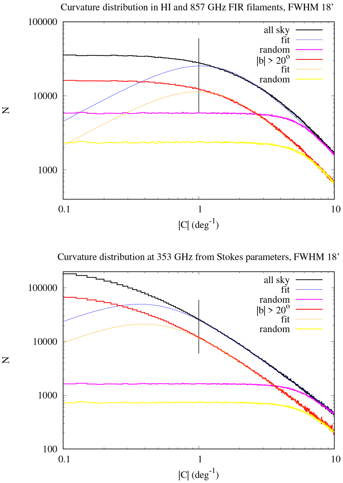
Distribution of observed local filament curvatures |C| at a resolution of 18′ in comparison to curvatures |K| from Eq. (18) (Eq. (9) of Schekochihin et al. 2002). Top: curvatures for FIR filaments at 857 GHz and in H I derived from Eq. (3). Bottom: curvatures from 353 GHz Stokes parameters Q and U, using Eq. (4). As indicated by the vertical line, the fit was only applied to |C| > 1 deg−1.
Current usage metrics show cumulative count of Article Views (full-text article views including HTML views, PDF and ePub downloads, according to the available data) and Abstracts Views on Vision4Press platform.
Data correspond to usage on the plateform after 2015. The current usage metrics is available 48-96 hours after online publication and is updated daily on week days.
Initial download of the metrics may take a while.