Fig. 3

Download original image
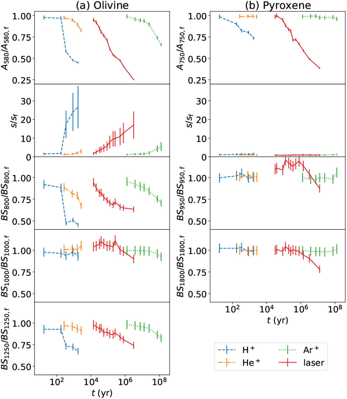
Time evolution of spectral parameters of (a) olivine and (b) pyroxene. Each curve corresponds to one type of irradiation and connects points denoting individual irradiation steps. H+ stands for hydrogen, He+ for helium, and Ar+ for argon ions. Time, t, was estimated for 1 au (see Appendix C for more detail), Aλ denotes albedo at a given wavelength, s stands for the spectral slope, and BSλ stands for the strength of a band centred at a given wavelength λ. All parameters are divided by the corresponding spectral parameter of the fresh (f) material and include error bars. For details of pyroxene spectral slope changes, see Fig. 4.
Current usage metrics show cumulative count of Article Views (full-text article views including HTML views, PDF and ePub downloads, according to the available data) and Abstracts Views on Vision4Press platform.
Data correspond to usage on the plateform after 2015. The current usage metrics is available 48-96 hours after online publication and is updated daily on week days.
Initial download of the metrics may take a while.