Fig. 7

Download original image
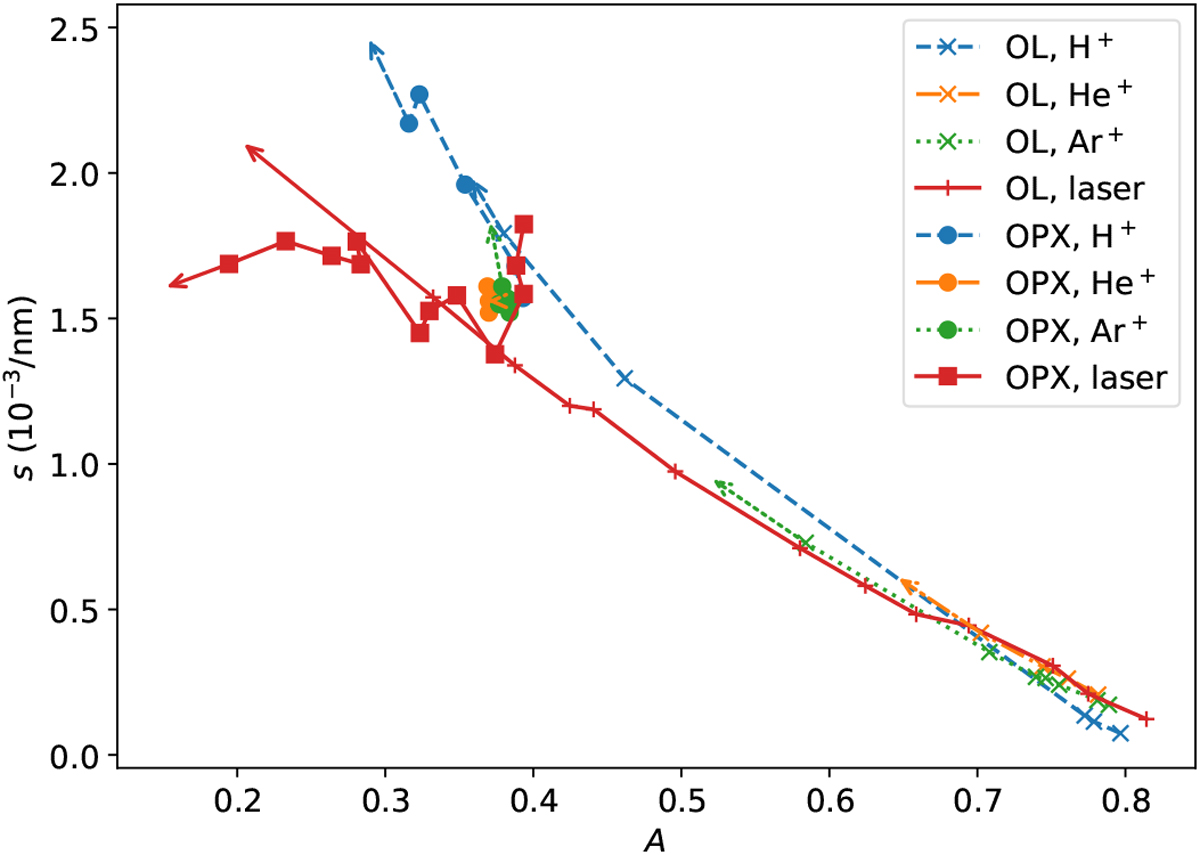
Correlation of the albedo (A) and spectral slope (s) for olivine (OL) and pyroxene (OPX), subject to different irradiation set-ups. Each line connects the individual irradiated steps due to one type of irradiation. H+ stands for hydrogen, He+ for helium, and Ar+ for argon ions. The highest irradiation states are indicated by the arrows’ tips.
Current usage metrics show cumulative count of Article Views (full-text article views including HTML views, PDF and ePub downloads, according to the available data) and Abstracts Views on Vision4Press platform.
Data correspond to usage on the plateform after 2015. The current usage metrics is available 48-96 hours after online publication and is updated daily on week days.
Initial download of the metrics may take a while.