Fig. 10

Download original image
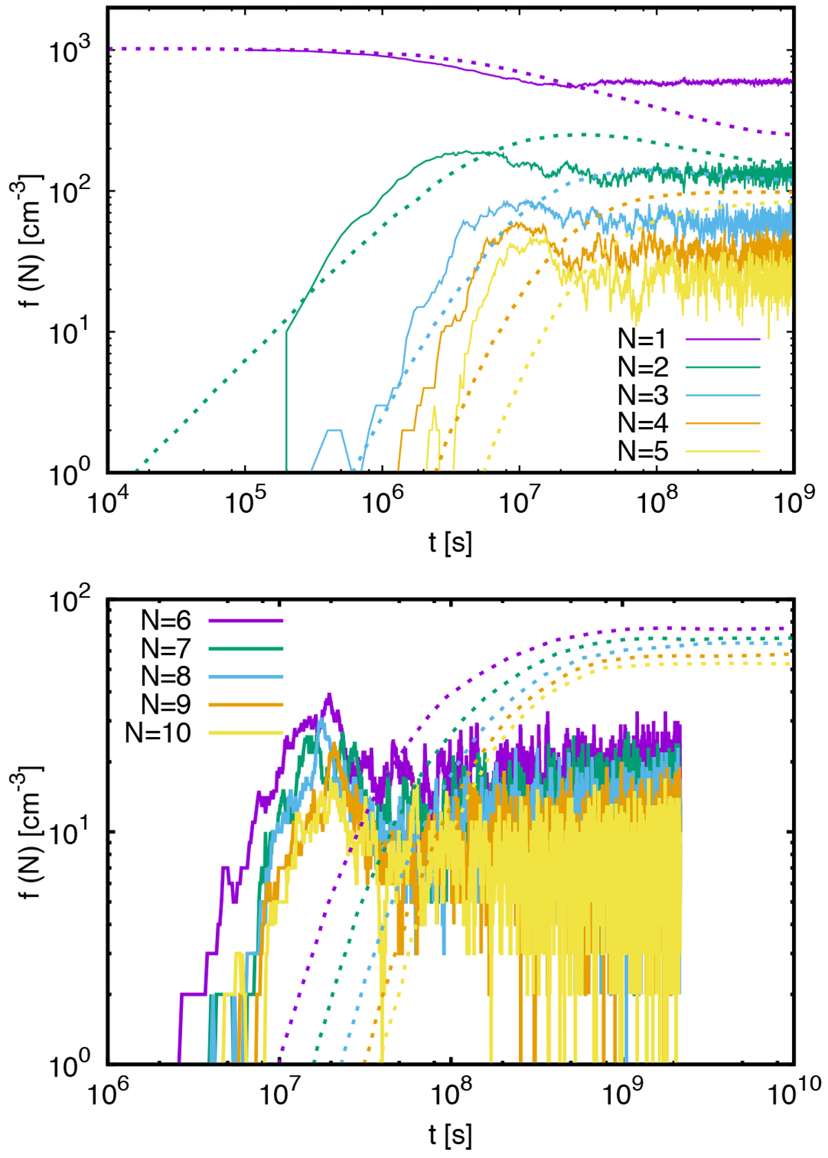
Comparison of the cluster number densities for N = 1… 5 (top) and N = 6… 10 (bottom) resulting from the 3D Monte Carlo (3D MC, solid) and from the kinetic approach (dotted) for α = 1, β = 1 and T = 1000 K. Deviations are largest for the larger clusters as the kinetic approach is limited to N = 10 as the maximum but the MC approach can grow to N > 10, hence depleting the smaller cluster numbers.
Current usage metrics show cumulative count of Article Views (full-text article views including HTML views, PDF and ePub downloads, according to the available data) and Abstracts Views on Vision4Press platform.
Data correspond to usage on the plateform after 2015. The current usage metrics is available 48-96 hours after online publication and is updated daily on week days.
Initial download of the metrics may take a while.