Free Access

Fig. 11

image

Download original image

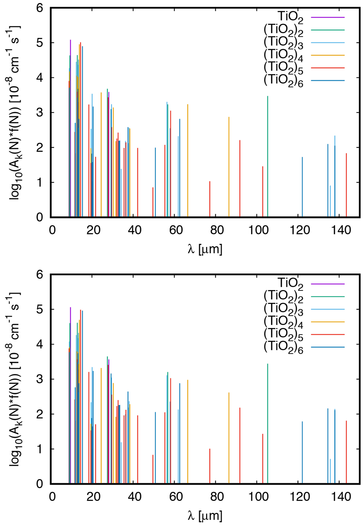
Line opacity, Ak(N) ⋅ f(N) [10−8 cm−1 s−1], for (TiO2)N clusters N = 1 … 6 in the wavelength window relevant for potential JWST observations. The (TiO2)N integrated line absorption coefficient, Ak [10−8 cm2 s−1], data is from Appendix C in Jeong (2000). The 3D MC cluster number density, f(N) [cm−3 ], is used for t = 107 s (top panel) and t = 109 s (bottom panel). Both times show little difference in opacity despite their different cluster number densities (Fig. 10). (TiO2)4, (TiO2)5, and (TiO2)6 have the largest line opacity amongst the N = 1 … 6 clusters. Their detailed line spectra are shown in Fig. 12.

Current usage metrics show cumulative count of Article Views (full-text article views including HTML views, PDF and ePub downloads, according to the available data) and Abstracts Views on Vision4Press platform.

Data correspond to usage on the plateform after 2015. The current usage metrics is available 48-96 hours after online publication and is updated daily on week days.

Initial download of the metrics may take a while.