Fig. 1.

Download original image
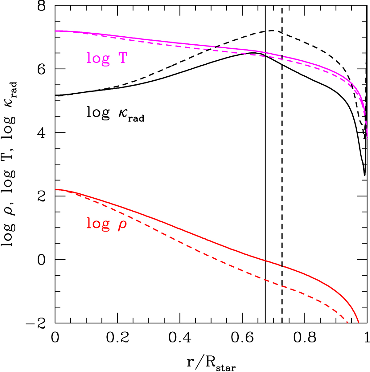
Internal structure of the reference model (solid lines) used as initial model for the 2D simulations compared to a model for the current Sun (dashed lines). The figure shows the density ρ (in g cm−3), temperature T (in K) and radiative diffusivity κrad = χ/(ρcP) (in cm2 s−1), with cP the specific heat at constant pressure. The Schwarzschild boundary is indicated by the vertical solid line for the reference model and the vertical dashed line for the Sun-like model.
Current usage metrics show cumulative count of Article Views (full-text article views including HTML views, PDF and ePub downloads, according to the available data) and Abstracts Views on Vision4Press platform.
Data correspond to usage on the plateform after 2015. The current usage metrics is available 48-96 hours after online publication and is updated daily on week days.
Initial download of the metrics may take a while.