Fig. 4.

Download original image
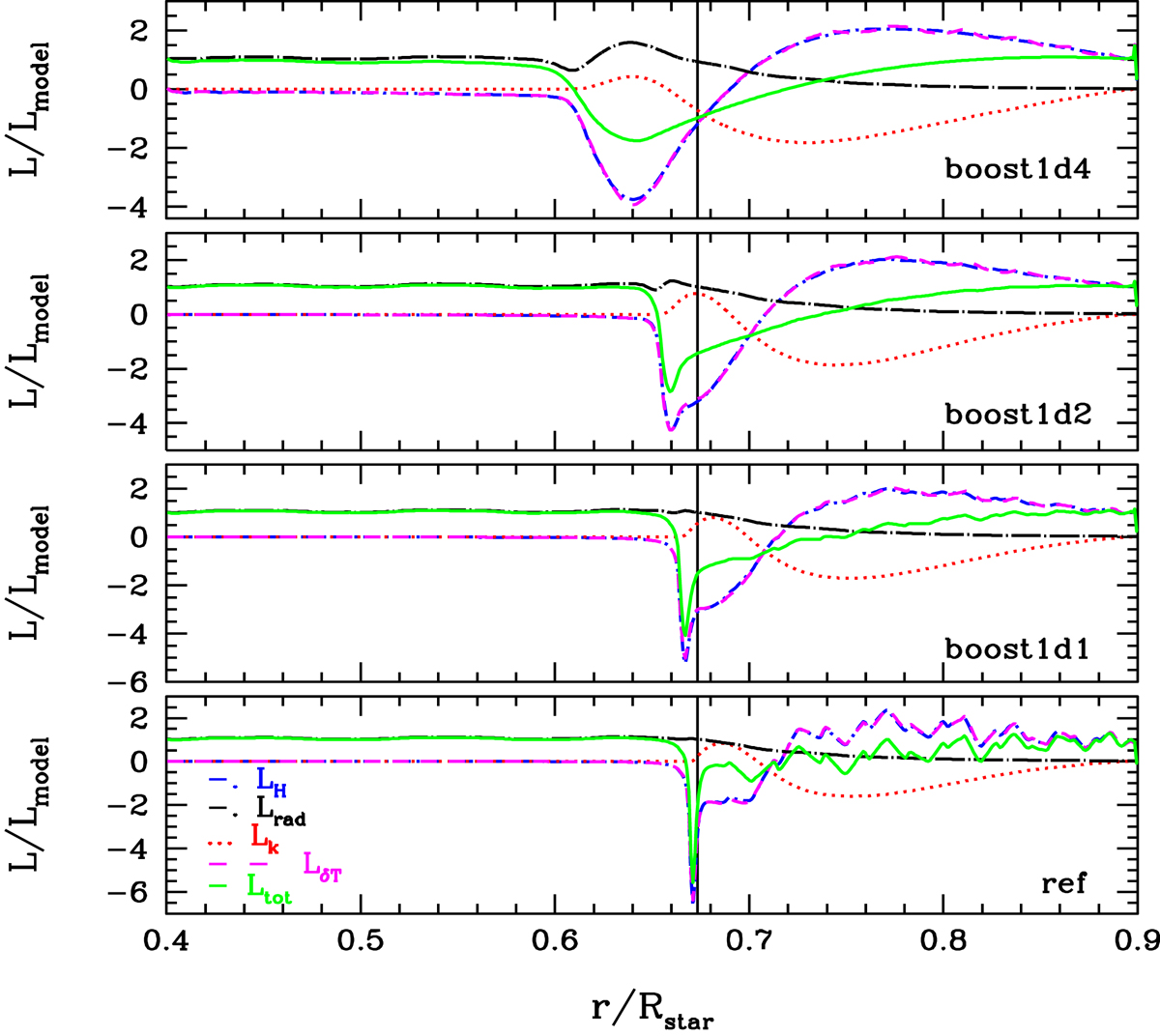
Radial profile of luminosities for the four models as indicated in each panel, corresponding to various fluxes: vertical enthalpy flux (Lh, dash-dot, blue), radiative flux (Lrad, long dash-dot, black), vertical kinetic energy flux (Lk, dot, red), convective heat flux (LδT, dash, magenta). The total luminosity Ltot = Lh + Lrad + Lk (solid, green) is also displayed. Luminosities are divided by the luminosity of the corresponding model. The convective boundary corresponding to the Schwarzschild boundary from the 1D initial model is indicated by the vertical solid line.
Current usage metrics show cumulative count of Article Views (full-text article views including HTML views, PDF and ePub downloads, according to the available data) and Abstracts Views on Vision4Press platform.
Data correspond to usage on the plateform after 2015. The current usage metrics is available 48-96 hours after online publication and is updated daily on week days.
Initial download of the metrics may take a while.