Free Access

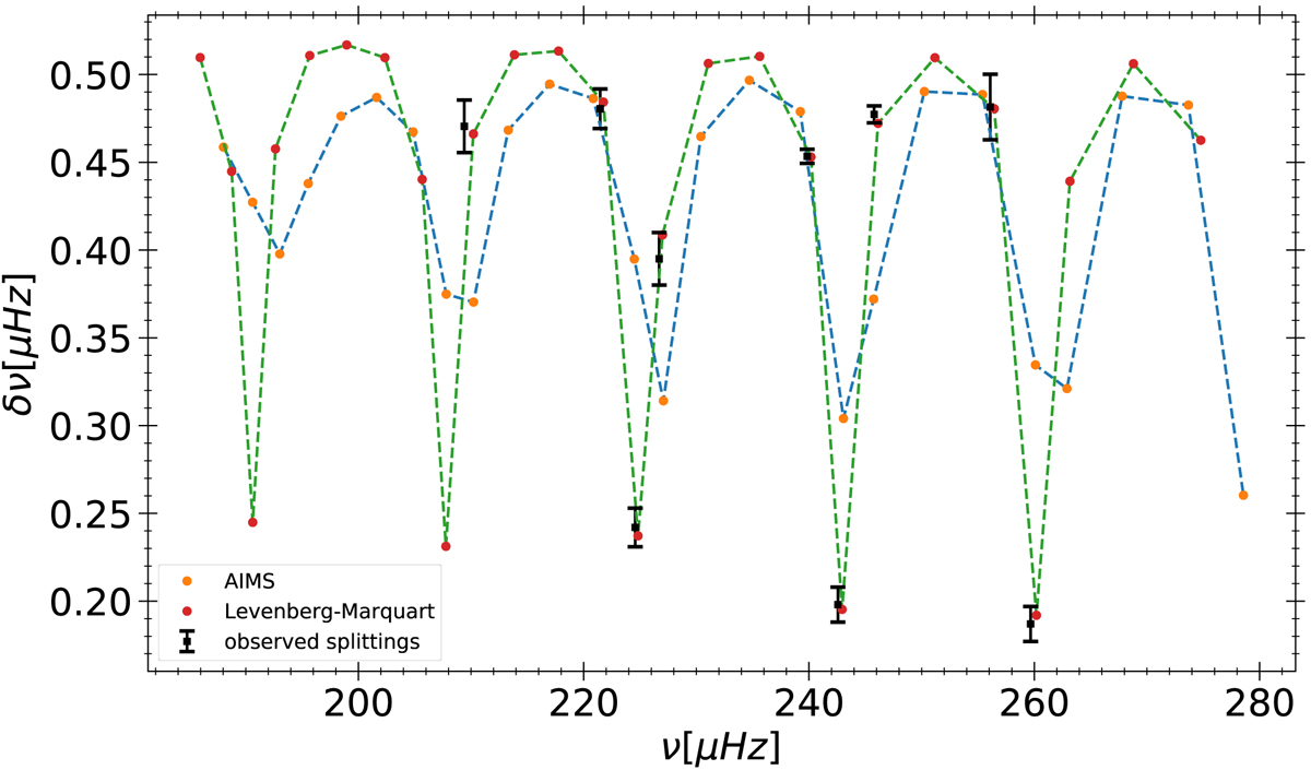
Fig. B.1.

image

Download original image

Splittings obtained with the two different models presented in Sect. 2, in blue the model obtained with Levenberg–Marquardt minimization technique and in green, the model obtained with AIMS. Splittings were computed, here, with a given rotation profile, thus, the differences seen between the two models can be attributed to the rotational kernel, linked to the structure of the star.

Current usage metrics show cumulative count of Article Views (full-text article views including HTML views, PDF and ePub downloads, according to the available data) and Abstracts Views on Vision4Press platform.

Data correspond to usage on the plateform after 2015. The current usage metrics is available 48-96 hours after online publication and is updated daily on week days.

Initial download of the metrics may take a while.