Free Access

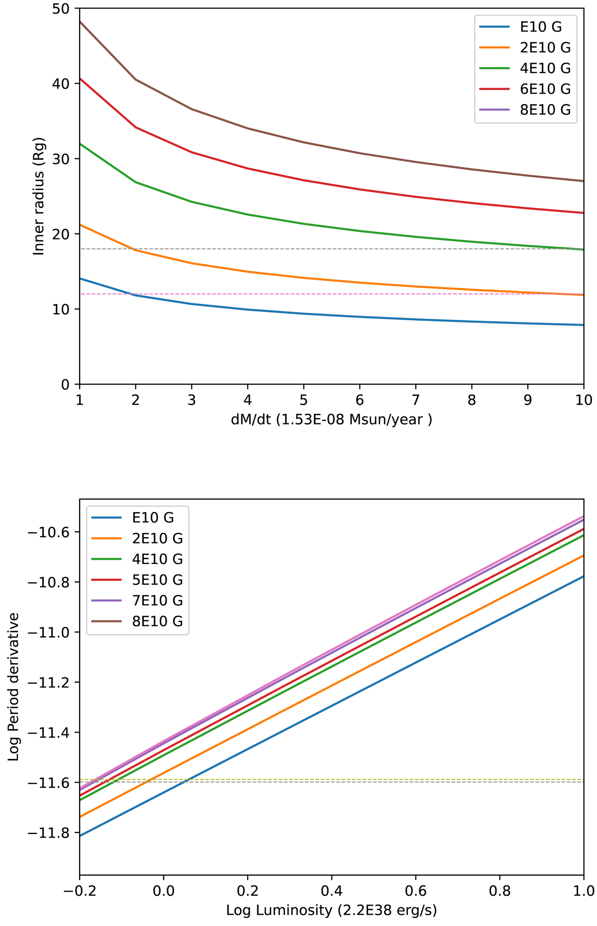
Fig. 5.

image

Download original image

Inner radius of the accretion disc plotted vs. the intrinsic source luminosity for different values of the magnetic field (solid lines), obtained with Eq. (6) (top panel). Derivative of the spin period as a function of luminosity for different values of the magnetic field on a logarithmic scale as indicated in the labels (bottom panel). The dotted lines shown in the plot are the logarithmic of −2.595(11)×10−12 s s−1, i.e. the spin period derivative reported in the literature (Mazzola et al. 2019).

Current usage metrics show cumulative count of Article Views (full-text article views including HTML views, PDF and ePub downloads, according to the available data) and Abstracts Views on Vision4Press platform.

Data correspond to usage on the plateform after 2015. The current usage metrics is available 48-96 hours after online publication and is updated daily on week days.

Initial download of the metrics may take a while.