Table E.1
Results of the X-ray spectral-timing analysis of MAXI J1820+070.
| Observations | Γcovar | kTin,covar | Firr,0.1-1000 keV | Rin | ν0 |
|---|---|---|---|---|---|
| [keV] | [10−8erg s-1 cm-2] | [Rg] | [Hz] | ||
| Rise | |||||
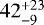
| O101 | 1.46 ± 0.07 | 0.22 ± 0.03 | |||
| O102 | 1.52 ± 0.07 | ||||
| O103 | 0.31 ± 0.03 | ||||
| O104–O105 | 1.49 ± 0.07 | 0.36 ± 0.03 | |||
| O106–O107 | 0.50 ± 0.04 | 10.57 ± 0.03 | |||
| O107–O108 | 1.54 ± 0.09 | 0.48 ± 0.05 | 10.19 ± 0.04 | ||
| O109 | 0.49 ± 0.04 | 10.29 ± 0.04 | |||
| 202/210 | |||||
| Plateau | |||||
| O110 | 1.52 ± 0.09 | 0.52 ± 0.04 | 10.29 ± 0.04 | ||
| O111 | 0.54 ± 0.04 | 10.93 ± 0.04 | |||
| O112–O115 | 1.50 ± 0.10 | 0.56 ± 0.04 | 9.12 ± 0.02 | ||
| O116–O117 | 1.53 ± 0.09 | 0.52 ± 0.04 | 9.11 ± 0.03 | ||
| O118–O119 | 0.55 ± 0.04 | 9.44 ± 0.03 | |||
| O120–O123 | 0.53 ± 0.04 | 8.63 ± 0.02 | |||
| O124–O127 | 0.49 ± 0.05 | 7.18 ± 0.04 | |||
| O130–O131 | 0.57 ± 0.04 | 9.47 ± 0.03 | |||
| O132–O134 | 1.53 ± 0.10 | 0.54 ± 0.04 | 8.59 ± 0.02 | ||
| O135–O139 | 1.51 ± 0.12 | 0.59 ± 0.05 | 7.45 ± 0.02 | ||
| O140–O141 | |||||
| O142 | 0.59 ± 0.06 | 8.30 ± 0.04 | |||
| O143–O144 | 0.60 ± 0.05 | 6.78 ± 0.03 | |||
| O145–O146 | 1.60 ± 0.13 | 0.56 ± 0.05 | 7.46 ± 0.02 | ||
| O147 | 1.61 ± 0.15 | 0.56 ± 0.05 | 7.97 ± 0.03 | ||
| O148 | 1.64 ± 0.21 | 8.04 ± 0.03 | |||
| O149–O151 | 1.58 ± 0.15 | 0.55 ± 0.05 | 7.22 ± 0.02 | ||
| O152–O153 | 0.61 ± 0.07 | 5.79 ± 0.02 | |||
| 635/540 | |||||
| Bright Decline | |||||
| O155–O156 | 1.71 ± 0.30 | 0.61 ± 0.07 | |||
| O157 | 6.52 ± 0.03 | ||||
| O158–O162 | 0.54 ± 0.06 | 5.18 ± 0.02 | |||
| O163–O164 | |||||
| O165–O167 | 1.39 ± 0.22 | 0.51 ± 0.06 | 4.86 ± 0.02 | ||
| O168 | - | - | - | - | |
| O169–O170 | 1.39 ± 0.23 | 0.53 ± 0.06 | 4.52 ± 0.02 | < 128 | |
| O171 | 0.49 ± 0.08 | 4.62 ± 0.03 | |||
| O172 | 0.48 ± 0.05 | 4.50 ± 0.03 | |||
| O173–O174 | 0.43 ± 0.05 | 4.25 ± 0.02 | |||
| O175–O176 | 3.87 ± 0.02 | ||||
| O177–O180 | 0.41 ± 0.05 | 3.05 ± 0.02 | |||
| O182–O185 | |||||
| 295/360 | |||||
| Hard-soft transition | |||||
| O186–O187 | > 1.00 | 3.09 ± 0.03 | |||
| O188 | 0.81 ± 0.01 | ||||
| O189 | 0.45 ± 0.03 | 4.55 ± 0.02 | |||
| O190 | 4.77 ± 0.02 | ||||
| O194 | 0.55 ± 0.05 | 5.77 ± 0.01 | |||
| O195 | 1.51 ± 0.37 | > 18 | |||
| O196 | 8.17 ± 0.04 | ||||
| O197 | ≳ 7 | ||||
| 234/240 | |||||
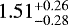
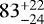
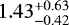
Notes. The table reports: the single/combined observations (the groups correspond to those reported in Table 1); the best-fit values of the Γcovar and kTin,covar parameters as obtained from the fits of high-frequency covariance spectra with the TBabs[deltadisk + nthComp] model; the 0.1–1000 keV irradiating flux as estimated from fits of time-averaged spectra; the estimated lower limits on the inner disc radius Rin as inferred from Eq. 2 (Sect. 4.2 and Fig. 7); the best-fit values of ν0 from the modelling of the lag-frequency spectrum (Sect. 4.1 and Fig. 4). The
refers to the simultaneous fits of the high-frequency covariance spectra of all the single/combined observations belonging to each phase of the outburst.
(a)Observations O101 and O102 were combined for the fit of lag-frequency spectra only (Sect. 4.1).
Current usage metrics show cumulative count of Article Views (full-text article views including HTML views, PDF and ePub downloads, according to the available data) and Abstracts Views on Vision4Press platform.
Data correspond to usage on the plateform after 2015. The current usage metrics is available 48-96 hours after online publication and is updated daily on week days.
Initial download of the metrics may take a while.