Open Access

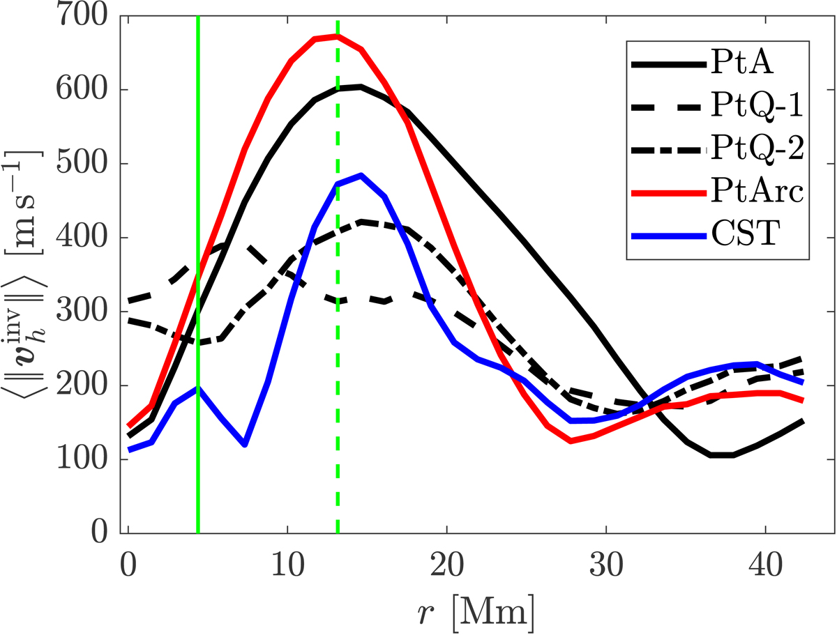
Fig. B.4.

image

Download original image

Radial profiles of azimuthally averaged speeds. The local minima of the speed are at distances 37.3, 34.6, 30.9, 28.1, and 28.5 Mm for PtA, PtQ-1, PtQ-2, PtArc, and CST respectively. The green vertical lines indicate the edges of umbra and penumbra.

Current usage metrics show cumulative count of Article Views (full-text article views including HTML views, PDF and ePub downloads, according to the available data) and Abstracts Views on Vision4Press platform.

Data correspond to usage on the plateform after 2015. The current usage metrics is available 48-96 hours after online publication and is updated daily on week days.

Initial download of the metrics may take a while.