Fig. 4.

Download original image
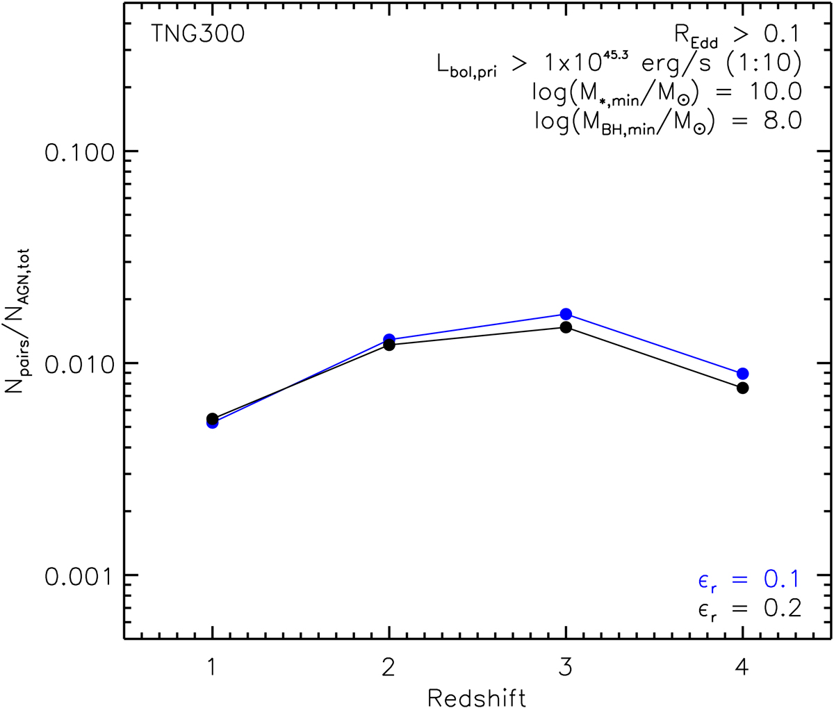
Fraction of BH pairs over redshift in TNG300, for two values of ϵr. Following Silverman et al. (2020), pairs are selected to have primary BH luminosities of Lbol,pri ≥ 1045.3 erg s−1, secondary BH luminosities of Lbol,sec ≥ Lbol,pri/10, a minimum BH mass of 108 M⊙, and a minimum host-galaxy stellar mass of 1010 M⊙. At redshifts > 5 there are AGN, but no pairs.
Current usage metrics show cumulative count of Article Views (full-text article views including HTML views, PDF and ePub downloads, according to the available data) and Abstracts Views on Vision4Press platform.
Data correspond to usage on the plateform after 2015. The current usage metrics is available 48-96 hours after online publication and is updated daily on week days.
Initial download of the metrics may take a while.