Fig. 16.

Download original image
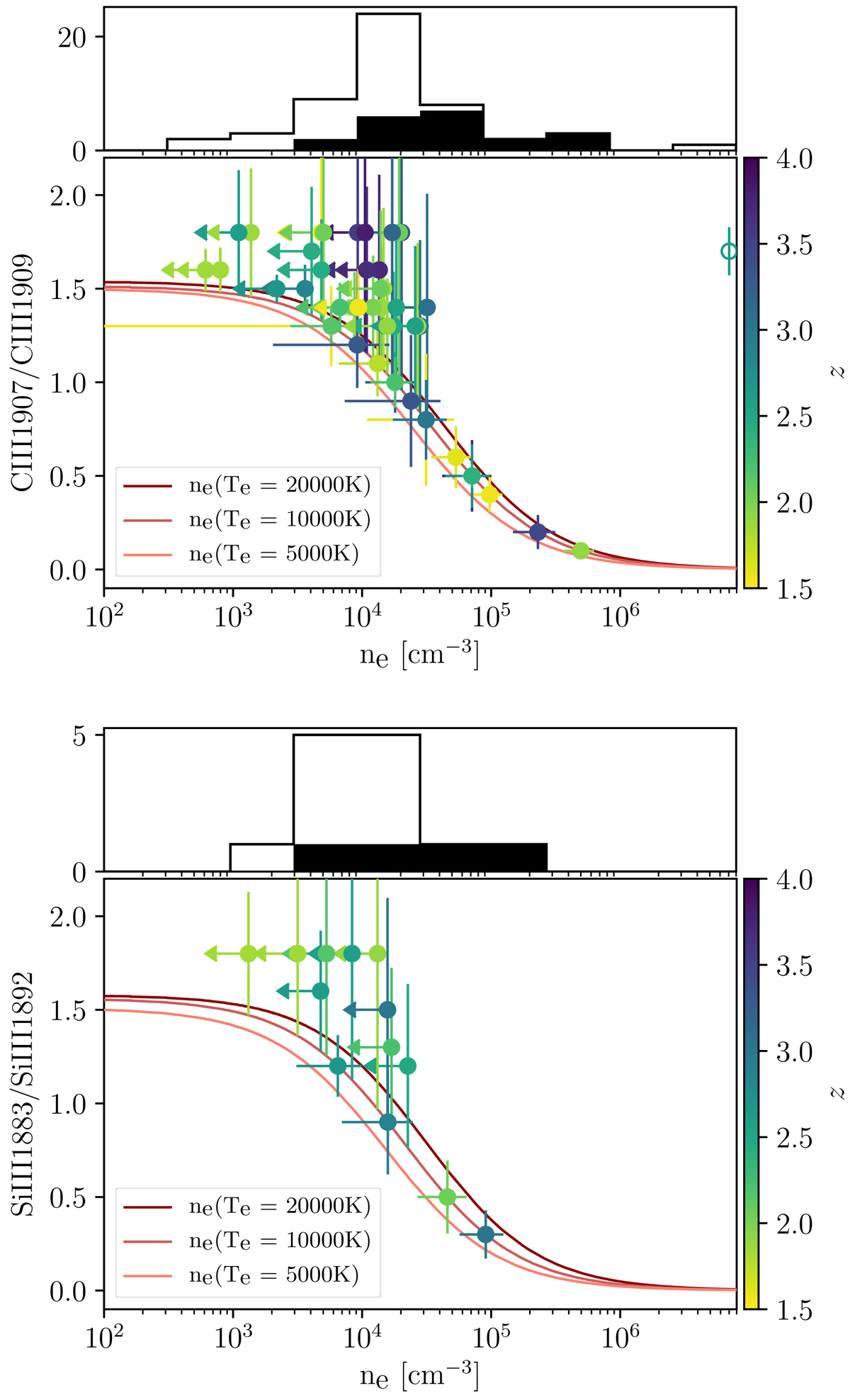
Electron densities (ne) estimated based on the C III (top) and Si III (bottom) doublet line flux ratios for a fixed electron temperature of Te = 104 K. The error bars (and limits) correspond to the 1σ uncertainties on the doublet flux ratios. For comparison, the theoretical curves (e.g., Osterbrock & Ferland 2006; Kewley et al. 2019a,b) for electron temperatures of 5000 K, 10 000 K and 20 000 K are shown as the solid red curves. The filled histograms count the number of objects where ne could be determined from the observed flux ratio. The open histograms add the subset of objects where the ne estimates are upper limits. The single open symbol to the right in the top panel indicates the C III flux ratio of object 605172634 (Fig. E.3) which results in an unconstrained electron density estimate for Te = 104 K.
Current usage metrics show cumulative count of Article Views (full-text article views including HTML views, PDF and ePub downloads, according to the available data) and Abstracts Views on Vision4Press platform.
Data correspond to usage on the plateform after 2015. The current usage metrics is available 48-96 hours after online publication and is updated daily on week days.
Initial download of the metrics may take a while.