Free Access
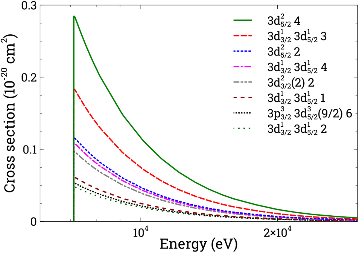
Fig. 4

Download original image
Partial photoionization cross sections from the ground level of the Fe atom to the long-lived levels of the Fe6+ ion. The cross section to the ground level of the Fe6+ ion is shownas a solid line.
Current usage metrics show cumulative count of Article Views (full-text article views including HTML views, PDF and ePub downloads, according to the available data) and Abstracts Views on Vision4Press platform.
Data correspond to usage on the plateform after 2015. The current usage metrics is available 48-96 hours after online publication and is updated daily on week days.
Initial download of the metrics may take a while.