Free Access

Fig. 2.

image

Download original image

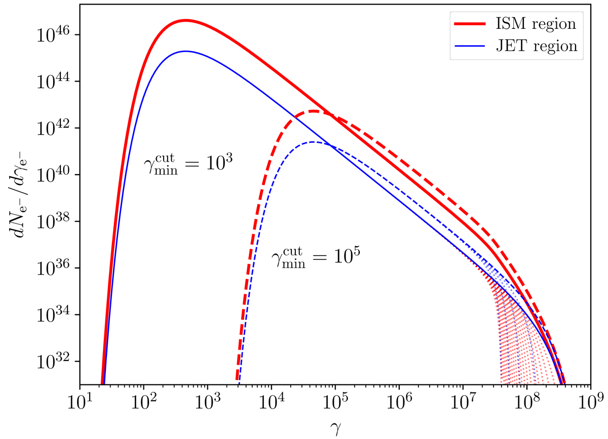
Energy distribution of non-thermal particles injected into the JET and ISM regions for different assumed values of the low-energy cutoff . Particle injection is discretized as occurring every tinj = 1 kyr (dotted lines). The final cumulative distribution at present time accounts for radiation cooling due to IC on the CMB and synchrotron losses. Distributions are shown for particles injected recently (tinj ≤ 1 kyr) that diffuse through the JET region (blue lines), and particles injected at tinj > 1 kyr diffusing into the ISM region (in red lines). In both cases, a magnetic field of BISM = BJET = 5 μG is assumed. A low cutoff for the particle distribution at injection is considered, adopting two different values and (solid and dashed lines, respectively). A high energy cutoff is also assumed in all cases. The distribution normalization is computed accounting for the source observed X-ray luminosity (see text for details).

Current usage metrics show cumulative count of Article Views (full-text article views including HTML views, PDF and ePub downloads, according to the available data) and Abstracts Views on Vision4Press platform.

Data correspond to usage on the plateform after 2015. The current usage metrics is available 48-96 hours after online publication and is updated daily on week days.

Initial download of the metrics may take a while.